El Poder Judicial, mal llamado “la Justicia” es una de las instituciones más desprestigiadas de la sociedad a nivel provincial y nacional. Y día a día hace mérito para permanecer en el podio.
En el caso de Córdoba, por ejemplo, el ex fiscal General, Juan Manuel Delgado, fue denunciado el pasado 2 de abril por el empresario Facundo Garade Panetta, quién lo acusó de haber cometido presuntamente los delitos de estafa procesal y defraudación previsto en el artículo 172 del Código Penal en perjuicio suyo particular y de la compañía TVF SA dedicada a la explotación agroganadera.
El mismo empresario ya había promovido en marzo de 2025 en la Legislatura un proceso contra Delgado mientras era fiscal General, ante el Jurado de Enjuiciamiento de Magistrados y Funcionarios, que no prosperó. A raíz de la denuncia penal, se frenó el desembarco del ex fiscal General al Directorio del Banco de Córdoba.
Ese mismo Jurado de Enjuiciamiento está sometiendo a un proceso oral desde este martes 21 de abril a los fiscales Javier Di Santo, Daniel Miralles y Luis Pizarro, que investigaron el homicidio de Nora Dalmasso, para determinar si cometieron alguna irregularidad a lo largo de una causa que ya lleva 20 años de impunidad.
Y en el caso de la Justicia federal, el escándalo golpea a la mismísima Cámara Federal de Apelaciones, donde su presidenta Graciela Montesi y el vicepresidente Abel Sánchez Torres, pareja de la presidenta, fueron denunciados e imputados penalmente por presuntamente haber cometido los delitos de abuso de autoridad, violación de los deberes de funcionarios públicos, falsedad ideológica y coacción. Con la particularidad que entre ambos cultivan una pública y amorosa relación sentimental, que se ha extendido al plano judicial, como se verá seguidamente.

De la sagrada familia a la familia estacionera
Atendiendo el clima de época, la pareja de camaristas haciendo gala del mote de “la Sagrada Familia”, le hizo un guiño a Gabriel Bornoroni, jefe del bloque de La Libertad Avanza en Diputados y máximo referente del partido de ultraderecha en Córdoba.
El 18 de diciembre de 2025, Abel Sánchez Torres convocó al camarista Eduardo Ávalos, justo cuando la integrante de esa cámara Liliana Navarro había tomado licencia, para considerar el nombramiento de una escribiente auxiliar a los efectos de cubrir el cargo de escribiente auxiliar ocupado por una empleada recientemente ascendida.

En La Torre, como llaman al imponente edificio de los Tribunales Federales enclavado en el Parque Sarmiento, aseguran que la designación la impulsó el propio Sánchez Torres, nombrando a la abogada María del Rosario Rodríguez Sánchez, cuñada de Gabriel Bornoroni. Diputado nacional que responde a Martín Menem y a la secretaria General de la Presidencia, Karina Milei; y que hasta ahora tiene asegurada la candidatura a gobernador de Córdoba para 2027 por la alianza de ultraderecha entre LLA, el Frente Cívico de Luis Juez, y el oficialismo deloredista de la UCR.
Rosario es hermana de Mercedes Rodríguez Sánchez, pareja de Bornoroni: “Su noviazgo es público y notorio. No son amantes, ni nada de eso. Se deben cuidar, pero son pareja”, señala ambiguamente un comentarista que recorre los pasillos de La Torre. Y aclara que la nueva empleada de la Justicia federal “es una ‘capa’ como abogada egresada de la Universidad Nacional de Córdoba. Pero más allá de eso, entró como cuñada (de Bornoroni). Son hijas de un estacionero de Alta Gracia. De ahí la relación con Bornoroni. Los que iban contra la casta, ya están cambiando de figuritas”.
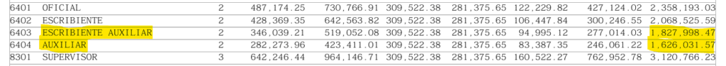
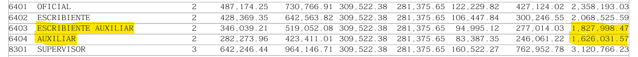
Capa o no concretamente también ello significó un ascenso con mejora de sueldo para la cuñada de Bornoroni. Al pasar de simple auxiliar con tiempo parcial en la justicia cordobesa, a escribiente auxiliar de tiempo completo en la justicia federal. Con un sueldo básico cercano a los dos palos, a lo que se debe sumar el adicional por antigüedad del 3 % anual, desde que se recibió de abogada, por título, etc.
Mercedes Rodríguez Sánchez, en tanto, es contadora de la estación de servicio Patria SA que explota una Shell en avenida Patria al 1.100 en barrio General Paz. Bornoroni llegó al Congreso por su presidencia en la influyente Federación de Expendedores de Combustibles del Centro de Argentina (FECAC). Cargo al que llegó por explotar una estación de servicio YPF en la periferia del centro capitalino.
Los poderosos estacioneros, no los estancieros
Otro que proviene de la FECAC es el flamante diputado nacional Gonzalo Roca, triunfador inobjetable de las elecciones del 26 de octubre que aplastó a Juan Schiaretti al sacarle 14 puntos de diferencia. “Gonchi” Roca, ex radical convertido a la ultraderecha violeta fue tesorero de FECAC y explota una estación de servicio en la zona de Traslasierras, junto a su familia paterna. Raúl Castellanos, legislador provincial del juecismo entre 2003 y 2007, fue el primer estacionero en saltar a la política.
De esta manera, “los estacioneros” conforman el núcleo duro del mileísmo en Córdoba. Desde su rol como abogado, Bornoroni conformó un tándem integrado por sus socios de su consultoría: Marcos Patiño Brizuela y Andrés Bauzá, quiénes fueron designados al frente de las delegaciones de PAMI y ANSeS en Córdoba. Este último, hijo de Eduardo Bauzá, ministro del Interior, de Salud, secretario General de la Presidencia y jefe de Gabinete del gobierno de Carlos Menem.

A su vez, los “estacioneros” permiten suministrar al trío Bornoroni – Patiño Brizuela – Bauzá suficiente nafta para ocupar esos cargos tan sensibles en la administración pública como son los fondos jubilatorios. Sin embargo, ese combustible no siempre garantiza que los motores no se queden dañados. Tal fue el caso de Santiago Pinasco, conocido por haberse quedado dormido en su oficina cuando estaba a cargo de la Agencia Territorial de Empleo del Sur de Córdoba.
Cuando la motosierra de Milei pasó por el Imperio del Sur y se cerró la agencia de empleo, a mediados de 2025, Pinasco se hizo cargo de la Unidad de Gestión Local del Instituto Nacional de Servicio Social para Jubilados y Pensionados –el comúnmente llamado PAMI- en Río Cuarto. Pero renunció en agosto, aludiendo a problemas personales.
El “bornoronismo” se nutre se nutre de la casta
Pinasco fue reemplazado por Leonardo Farina, un microbiólogo que trabajó bajo las órdenes del ex secretario de Salud municipal y actual concejal radical, Gabriel Abrile. El “bornoronismo”, que no tiene aparato propio, suma dirigentes sueltos del radicalismo para engordar las filas de LLA, como es el caso del agrodiputado de Jesús María, Luis Picat, o la ex diputada Soledad Carrizo, que había acusado a Milei de generar un “ajuste mesiánico” y ahora está en la fila de embarque de LLA.

Esa sumisión a cuentagotas de los boinas blancas a la cordobesa pareciera que, incluso, le permite a los estacioneros mileístas empezar a gozar de las mieles de la casta. El beneficio que recibió la cuñada de Bornoroni tiene también su semejanza con la esposa de otro radical, Rodrigo de Loredo. Quien es hija de Oscar “Milico” Aguad, ex-ministro de Defensa y de Comunicación durante la presidencia de Mauricio Macri.
En este caso, con su incorporación y ascenso a un alto cargo en la justicia federal, tras desempeñarse como ama de casa, pese a que no cumplía los requisitos de antigüedad, se logró con el aval de la jueza federal María Noel Costa. Quien fue directora de Inteligencia Estratégica en el Ministerio de Defensa en épocas de Aguad, y así todo queda en las familias de la casta.
De a poco, Bornoroni va tejiendo relaciones con la Justicia federal y con la “casta” política a la que había prometido combatir. Un entramado transversal que le permite afianzar su carrera electoral para en el 2027 disputar la gobernación. Y a la vez se asegura que sus familiares puedan formar parte de la sagrada familia judicial.
El epicentro del maremoto
Bornoroni pudo colocar a su cuñada en la justicia federal, gracias al guiño que le hicieron Abel Sánchez Torres y Graciela Montesi. Quiénes hacen y deshacen a su gusto en la Cámara Federal de Apelaciones de Córdoba, porque ella preside la Sala A y él es vicepresidente de la Sala B.
La relación sentimental entre la presidenta de la Sala A y el vicepresidente de la Sala B de la Cámara Federal de Apelaciones no sería objetable; si no hubiera riesgo acerca de la imparcialidad a la hora de fallar, o la incompatibilidad de sus funciones cuando ambos integran la misma Cámara Federal.
La Cámara Federal de Apelaciones de Córdoba solo cuenta con dos salas: “A” y “B”. La Sala A, presidida por Graciela Susana Montesi e integrada por el vocal Eduardo Daniel Avalos; estando vacante la tercera vocalía, a raíz de la jubilación del juez Ignacio Vélez Funes. Quien en julio de 2023 renunció para evitar ser destituido y perder su privilegiada jubilación, en medio de denuncias por violencia laboral. En tanto la Sala B está integrada actualmente solamente por Sánchez Torres y la vocal Liliana del Valle Navarro; mientras que la tercera vocalía quedó vacante tras el fallecimiento de Luis Roberto Rueda, en el 2021.
El pasado miércoles 15 de abril, el Consejo de la Magistratura de la Nación aprobó las ternas las dos vocalías vacantes de la Cámara Federal de Apelaciones y una del Tribunal Oral Federal 2 (TOF2), ambos de Córdoba. El detalle fue que el presidente del Concejo, Horacio Rosatti, se abstuvo ante la posible judicialización del concurso, debido a que si eso sucede, será la Corte Suprema de Justicia de la nación (CSJN), la que finalmente deberá resolver la cuestión.
En el plenario se debatió acerca de las dos propuestas para cubrir las dos vocalías de la Cámara Federal de Apelaciones: en la primera terna están nominados Pablo Roberto Toledo, Germán Luis Gianotti y María Soledad Mancini; en tanto que en la segunda, los nominados son José Manuel Belisle, Manuel Celedonio Malbrán y Facundo Cortés Olmedo.
Por mayoría se aprobó la primera propuesta, y los dos consejeros cordobeses, el senador Luis Juez y el diputado Gonzalo Roca, votaron por la afirmativa de las ternas que se enviarán al Ejecutivo. Un dato que no pasó desapercibido: Cortés Olmedo y Roca, son primos; más sagrado que la familia, no hay.
Con un conflicto en puerta, dado que el secretario penal del Juzgado Federal N°3 de Córdoba, Patricio Lutteral cuestionó el sistema de puntajes de antecedentes. Mientras que otro candidato, Germán Gianotti, apuntó a la omisión de una imputación y sobreseimiento en dos causas penal económica, una tramitada en Buenos Aires y otra en Uruguay. Gianotti, candidato impulsado por Sánchez Torres, integra uno de los principales estudios jurídicos que litigan en la Justicia federal.
En su exposición ante los consejeros Lutteral reiteró sus planteos y exigió una resolución fundamentada sobre sus cuestionamientos. Y Gianotti remarcó que la fiscalía había solicitado su sobreseimiento, por lo que no que no tiene ninguna investigación en su contra en curso.
Nepotismo judicial
Como ambas salas de la Cámara Federal de Apelaciones necesitan de los tres vocales para resolver las causas, y sólo tienen dos, en octubre de 2023 se emitió el Acuerdo N° 316 que reglamenta quiénes son los jueces que van a subrogar los casos de cada sala.
Se realiza mediante rotación de roles: para noviembre de 2023, se dispuso que el juez Ávalos, que integra la Sala A, emita la tercera firma de una causa de la Sala B, luego de las opiniones vertidas por Sánchez Torres y Navarro. Paralelamente, Navarro, que integra la Sala B, participaría en las causas de la Sala A. Mientras que en diciembre de ese mismo año, la jueza Montesi haría lo mismo, pasando de la sala B a la sala A; y su pareja Sánchez Torres de la A, a la B; y así sucesivamente.

Este sistema de reemplazos de las ternas hasta el nombramiento de las vacantes, funcionaría sin reparos éticos, si Graciela Montesi y Abel Sánchez Torres no mantuvieran una relación sentimental, lo cuál genera cierta inestabilidad en cuanto a la imparcialidad con que emiten sus resoluciones.
Ya en 2019, los camaristas Luis Rueda, Ignacio Vélez Funes y Liliana Navarro denunciaron esta situación ante la Corte Suprema de Justicia de la Nación. Curiosamente, el único que no participó de esa formalidad fue Eduardo Ávalos, lo que permite abrir suspicacias a la hora de cumplir su rol frente a la casta política.
Los cortesanos supremos, lejos de decidir sobre esa irregularidad manifiesta, se excusaron por “cuestiones de forma” y rechazaron la presentación de Rueda, Vélez Funes y Navarro, aduciendo que “pone de manifiesto una actitud teñida de subjetivismo e invasiva de la intimidad que es ajena, por cierto, a la prudencia, circunspección y mesura que son componentes indispensables de todos los actos de un magistrado”. Uno de los que repudió esa resolución fue el fallecido Rueda: “Los jueces tenemos la obligación moral y legal de ser independientes entre nosotros”.
Desde fines de 2023, hace más de dos años, luego del fallecimiento de Rueda y la jubilación de Vélez Funes; y gracias a la rotación dispuesta por el Acuerdo N° 316 para llenar esas dos bancas vacías, se hizo posible que la pareja haya emitido sentencias judiciales con sus nombres compartidos en ella, violando así la independencia de sus decisiones.
Maremoto judicial a la cordobesa
El escándalo por la situación sentimental que influye en las sentencias judiciales, fue creciendo de a poco como si los Tribunales Federales de Córdoba fueran una olla a presión. Hasta que a principios de abril estalló, cuando los fiscales Maximiliano Hairabedián y Nicolás Turano, de la Procuración General de la Nación, imputaron a Montesi y Sánchez Torres por los presuntos delitos de abuso de autoridad, violación a los deberes de funcionarios público, falsedad ideológica y coacción.
La acción fue a partir de una denuncia presentada en septiembre de 2024 por parte de Celina Laje Anaya, quién en ese entonces era secretaría de la Cámara. La denunciante, patrocinada por Claudio Orosz, detalló las vivencias que tuvo en su tiempo laboral, que empezó por una orden impartida por Sánchez Torres, apenas iniciada el Acuerdo 316, para que firmara un certificado para integrar como subrogante a Montesi en la Sala B para tratar una causa contra un ex directivo de la compañía de agronegocios Bunge.
Como Laje Anaya se negó, recibió improperios por parte del camarista, que incluyeron gritos, malos tratos, descalificaciones, amenazas y sobrecarga de trabajo, generando complicaciones en su estado de salud.
Según la denuncia, a la que accedió Striptease del Poder, los amorosos magistrados “habrían acordado manipular la integración del Tribunal en violación a lo establecido en la ley (…), con el fin de integrar las Salas de manera conjunta en el caso denominado “BUNGE” de evasión tributaria (compuesto por los expedientes: “Padilla” -FCB 53771/2014- de la Sala A y “Humanes” -FCB 8749/2019- de la Sala B), privando así de jurisdicción a los jueces que legalmente debían intervenir por subrogancia”.

Intercambiando granos
Uno de esos casos que aparece en la denuncia de Laje Anaya es la causa Humanes, publicada a mediados de 2024 por StripteasedelPoder.com, donde se ventila un juicio contra el rosarino Plácido Enrique Humanes, ex-CEO de la firma Bunge Argentina SA, la corporación del agronegocio más longeva del país. El delito imputado es el de evasión agravada por el uso de facturas apócrifas.
La Cámara Federal de Apelaciones de Córdoba había rechazado en ese entonces lo decidido por el juez federal de Villa María, Roque Ramón Rebak, quien desestimó la denuncia contra el empresario en el 2021 por falta de méritos. La apelación fue impulsada por los fiscales del Ministerio Público Fiscal y la AFIP (hoy ARCA), quienes habían hecho la denuncia original.
La denuncia presentada en 2019, luego de detectarse salidas irregulares no documentadas en el año 2011, implicaba una pérdida millonaria para el fisco. Para eso, Bunge habría utilizado facturas apócrifas de dos empresas que no tenían suficiente solvencia, ni tenían actividad comprobada vinculada con el rubro. Como no pudo demostrar la autenticidad de esas operaciones, se concluyó que nunca existieron. Luego, AFIP presentó una nueva denuncia sobre situaciones similares en 2012 y 2013. La totalidad de las tres operaciones llegó a US$ 1,5 millones.

El cambio en las retenciones benefició nuevamente al ex senador K cordobés Roberto Urquía de AGD
Cuando la causa cayó en 2024 en la Cámara de Apelaciones, terminó en la Sala B, conformada por Liliana Navarro, Eduardo Ávalos y Abel Sánchez Torres. Los dos primeros votaron por la ratificación del procesamiento contra el empresario. El tercero, Sánchez Torres, votó en disidencia. En La Torres es vox pópuli que falló de esa manera, en protesta porque no pudo convencer a la secretaria Laje Anaya para que firmara el decreto de subrogancia a favor de su pareja Montesi.
La causa “Padilla”, también ligada a Bunge, llegó a la Cámara Federal proveniente del Juzgado Federal de Río Cuarto. La apelación había sido tratada en la Sala A por Montesi y Ávalos. En noviembre de 2023, ambos jueces habían votado, con lo cual se derivó el expediente a la Secretaría Penal de la Cámara, a cargo de Mario Olmedo para dar lugar al tercer voto, donde le tocaba subrogar a Liliana Navarro. Pero eso no ocurrió, porque Olmedo lo habría devuelto nuevamente a Montesi, quien lo cajoneó hasta que le tocara el turno de subrogar a su pareja Sánchez Torres.
Esta irregularidad fue denunciada a principios del mes de abril por los fiscales Hairabedián y Turano, quiénes expusieron que “esta integración ilegítima habría tenido como objetivo garantizar una resolución en mayoría, la cual tuvo como resultado el dictado de la falta de mérito en favor del imputado Raúl Padilla con fecha 18 de diciembre del 2023”.
Mientras que en la causa “Humanes”, el 21 de diciembre de 2023, Sánchez Torres decidió integrar amorosamente a su pareja Montesi, vocal de la otra Sala de ese mismo tribunal, en contra del Acuerdo 316/2023. Para eso, le habría ordenado a la secretaria Celina Laje Anaya, la confección de un certificado a los fines de dejar constancia que la Sala se integraría con él y su pareja Graciela Montesi. Ante la negativa de la secretaria, se frustró el plan de Sánchez Torres de fallar en tándem con Montesi en la causa Humanes.
Según los fiscales Turano y Hairabedián, desde entonces y hasta septiembre de 2025, “Abel Guillermo Sánchez Torres, habría abusado de la autoridad que investía desplegando sobre la secretaria de Cámara Celina Laje Anaya actos de maltrato, violencia laboral, de manera sistemática, recurrente y sostenida en el tiempo, logrando de este modo dañar su salud, en represalia por haberse negado a realizar la certificación ilegítima de la Sala, señalada en el hecho anterior”.
Según señalan los abogados de la denunciante, sus consecuencias fueron “afectaciones psicológicas y psíquicas tales como sentimiento de angustia, pánico, episodios de llanto constante y prolongado, ansiedad, depresión y también expresiones físicas como pérdida de cabello, taquicardia, trastorno de sueño, pulso acelerado, sensación de asfixia, temblores en el cuerpo, incluso un episodio de desvanecimiento sin explicación”.

Como se puede observar, los camaristas Sánchez Torres y Montesi hacen honor al mote de Sagrada Familia como es señalada la Justicia federal cordobesa, donde los cargos se reparten en forma endogámica. Pero además, los anticasta de la LLA, liderada en Córdoba por los estacioneros de la FECAC, además de repartirse las candidaturas a diputados, y los cargos en organismos públicos nacionales entre ellos; también meten a familiares por las ventanas de la imponente torre del Parque Sarmiento.-
"Como lo pudiste constatar, nuestras investigaciones, son fundadas, independientes, con datos públicos y verificables y siempre sobre el poder real. Su producción lleva días, semanas, hasta meses de trabajo. Y son abordadas con la mayor honestidad, profesionalidad y rigurosidad periodística. Si está a tu alcance, podes colaborar con este periodismo libre, de calidad, sin injerencia de empresas o gobiernos"






