El famoso lago San Roque se ha convertido en el “Riachuelo” de la provincia de Córdoba. A diferencia del extenso curso de agua que atraviesa distintas zonas del Conurbano Bonaerense, hasta desembocar sobre el Río de la Plata, el enorme cuerpo de agua mediterránea, contenida por el dique del mismo nombre, es noticia todos los veranos en la prensa cordobesa por ser una gran fuente de atracción turística. Y también por la notable presencia en él de colores verdes y olores nauseabundos, no obstante ser la principal fuente de agua que consume las dos terceras partes de la ciudad de Córdoba, el principal centro urbano de la provincia.
Rodeado por localidades del sur del Valle de Punilla, entre ellas la ciudad turística de Villa Carlos Paz, el embalse padece un proceso bioquímico llamado eutrofización o hipereutrofización. Se trata de una proliferación de algas y cianobacterias que se alimentan de los restos orgánicos volcados sobre el lago. Éstos mismos, provienen en gran parte de desechos cloacales, sin el tratamiento sanitario adecuado. En algunos casos, la materia fecal se torna notoria, como expuso éste video el verano pasado.
Bichos feos
En toda la provincia de Córdoba, rige el Decreto 847/2016, que establece los estándares y normas sobre vertidos para la preservación del agua. Según sus anexos, se acepta que una fuente de agua tenga un límite de 5.000 unidades de coliformes totales cada cien mililitros. Mientras que los coliformes termotolerantes, que incluye la Escherichia coli, unos 1.000 NMP por cada 100 ml. Si se superan esos niveles, el agua está contaminada y resulta peligrosa para su consumo.
Uno de los últimos trabajos que se cuenta a mano sobre la presencia de esa bacteria, fue realizado por el CEPROCOR (Centro de Excelencia en Productos y Procesos Córdoba) sobre datos de los años 2013 y 2014. En ella, los recuentos de Bacterias Coliformes Totales y Fecales arrojaron valores que superaron los límites máximos permitidos, incluso antes que se publicara el mencionado decreto. El monitoreo dice:
“Si se comparan los resultados en función de las estaciones, se nota un aumento en época estival siendo los puntos Desembocadura de San Antonio y Centro de Carlos Paz los más afectados por contaminación de origen fecal, cabe recordar que CT pueden tener origen medioambiental, y su aumento es coincidente con períodos de intensas lluvias (desde enero a marzo 2014)”. Precisamente, Villa Carlos Paz es la ciudad que más recibe de turistas en épocas estivales.

Exponemos a continuación el gráfico extraído de ese informe, con el agregado de una línea fina negra, que marca el límite de 1.000 NMP/100 mL, que es el límite actual permitido.

“Escherichia coli es una bacteria que se utiliza como indicador de contaminación originada por heces de mamíferos de sangre caliente y humanas”. Explica el estudio que viene acompañado con una tabla con los datos del gráfico, señalando que “se observa un incremento en su concentración en época estival siendo también los puntos Desembocadura de San Antonio y Centro de Carlos Paz los más afectados”.

“Los resultados obtenidos en este estudio reflejan el impacto de efluentes producto de filtración o volcamiento directo de líquidos cloacales sobre los puntos de la costa del Lago San Roque muestreados. Este efecto se magnifica en época estival y puede atribuirse al incremento poblacional de turismo recreativo en esa época”, señala el trabajo del CEPROCOR, que además concluye que los “efectos de estos contaminantes aportados por los desechos de origen cloacal explican el carácter eutroficado del embalse y cómo consecuencia de esto los eventos repentinos de floraciones algales y mortandad de peces”.
Calidad del agua
La Subgerencia del Centro de la Región Semiárida, que maneja al Instituto Nacional del Agua (INA-CIRSA), en un informe de archivo, publicado en el año 2000, asevera que la “condición eutrófica se evidencia a través de su escasa transparencia, presencia de anoxia hipolimnética y frecuentes eventos de floraciones algales debido al alto aporte de nutrientes provenientes de la cuenca y márgenes del lago”. Pasaron veinte años, y la situación sigue agravándose.
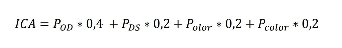
Por esa razón, ese instituto viene realizando mensualmente estudios limnológicos (referidos a los factores bióticos y abióticos) sobre el estado del agua del San Roque. A esos efectos viene realizando mediciones en cuanto a la calidad de agua, en base a: 1) la concentración de oxígeno disuelto -elemento indispensable para la supervivencia de la fauna-; 2) la concentración de color; 3) la concentración de olor; y 4) su transparencia u opacidad visual.
A partir de ello, se obtiene un Índice de Calidad de Agua (ICA), que consiste en la sumatoria ponderada del puntaje asignado a cada variable en función de su valor observado (cuali o cuantitativo), que se expresa de la siguiente manera:

Allí, el P refiere al factor de ponderación de la variable y C es el puntaje asignado a esa variable. Sobre las cuatro variables mencionadas, se le designa un rango determinado, en base a los resultados de cada análisis, que se exponen en el siguiente cuadro.

Y a partir de ello, se puede desplegar de manera más concisa la conformación de la formulación del índice mencionado que es el siguiente:

De esta manera, el índice tendrá como resultado un número de 0 a 1, y según ese resultado, se obtiene tres situaciones, donde se le asigna un determinado color:
- Color celeste, nivel de calidad normal: Del 1 al 0,8, corresponde a una situación donde la cantidad de oxígeno garantiza la vitalidad de los peces, con una transparencia cercana al promedio, y con ausencia de olores.
- Color amilarillo, nivel de calidad regular: Del 0,4 y 0,6, advierte de una baja en oxígeno a medida que hay mayor profundidad, con una transparencia por debajo del promedio, y con coloración y/o olor moderado.
- Color rojo, nivel de calidad grave: Del 0,3 al 0, la presencia de oxígeno es nulo o ínfimo, la turbiedad de algas opaca el agua, hay olores intensos y el agua muy colorida, y con probabilidades de mortandad de peces.
Striptease del Poder realizó la siguiente gráfica que hace una extensión de los registros del INA-CIRSA, desde octubre de 2014 hasta marzo de 2021, que es el último dato presente. Se advierte una falta de cómputos a mediados de 2018, debido a que los especialistas tuvieron dificultades para tomar muestras por las obras del puente “José Manuel de la Sota”, construido por arriba del lago, y también en el año 2020 por las restricciones sanitarias por la pandemia del Covid-19.

Como se observa, la situación se torna grave en particular los meses de enero y febrero, en los períodos veraniegos, cuando Villa Carlos Paz recibe un fuerte movimiento de visitas por su atractivo turístico. Precisamente, son esos meses en donde varios son testigos que el lago se torna con un color verde espeso, y por momentos con olor nauseabundo.
Por su parte, el último estudio del INA-CIRSA, realizado el 30 de marzo pasado, parece que a pesar de la cuarentena vivida en todo el año pasado, el lago no tuvo descanso. Dado que en el mismo se acompaña una serie temporal del porcentaje de superficie afectada por floraciones de algas, que abarca desde mayo del 2020 hasta la fecha mencionada. Se observa un aumento en el área afectada, llegando a una máxima del 42% el 28 de marzo pasado. Naturalmente, la presencia de algas es acorde a la disminución de la calidad de agua en los días de verano.

Siguiendo con ese último informe, vemos también una secuencia de imágenes satelitales, donde se detecta el desarrollo de varios pulsos de floraciones de cianobacterias, en distintos sectores del embalse, durante el transcurrir de marzo.

También se adjuntan los mapas registrados del mes de febrero:

Pero se torna más agravante con las imágenes de enero pasado, donde se observa, además de la floración verdosa de cianobacterias, una mancha gris en la fotografía del 22 de enero, que corresponde a “una fase de decadencia de un pulso de floración”. Mientras que la “coloración verde en el sector norte del embalse corresponde al desarrollo de pasturas en áreas expuestas ante la baja del nivel”.

Fotos que acompañan el informe de enero 2021 del INA-CIRSA.
Toxinas
Uno de los informes más fulminantes fue el de enero de 2018, donde directamente sentenció que “dada la potencialidad tóxica de estas algas, se recomienda tomar recaudos en los procesos de potabilización y evitar el uso recreativo de contacto directo”.

Según una serie de notas de la Red Universitaria de Ambiente y Salud (Reduas), las cianobacterias que proliferan en las aguas del San Roque, son bacterias Gram-negativas, que contienen clorofila, lo que les permite realizar fotosíntesis, y ficocianinas como pigmentos, adquiriendo el color verde tan característico en verano. Basados en un estudio de la Facultad de Ciencias Químicas, de la Universidad Nacional de Córdoba, en el embalse San Roque, las floraciones de cianobacterias tienen la capacidad para producir cianotoxinas llamadas hepatotoxinas microcistinas y nodularinas, y la neurotoxina anatoxina-a. Incluso las concentraciones de microcistinas medidas en los músculos de los pejerreyes, recolectados en el embalse, excedieron los valores recomendados por la Organización Mundial de la Salud.
De hecho, la Anatoxina-a es producida por algunos linajes de la Anabaena, bacteria detectada en el agua que distribuye la empresa Aguas Cordobesa SA, encargada de potabilizar el agua del San Roque, para luego distribuirla a una millonaria población.
“El compuesto es una amina secundaria, un análogo estructural de la cocaína y del neurotransmisor acetilcolina. Los signos de envenenamiento que se han detectado en varios organismos son: tambalearse al caminar, fasciculaciones musculares, respirar con dificultad, convulsiones y rigidez (en aves). La muerte por falla respiratoria ocurre en minutos o a pocas horas dependiendo de la especie y de la dosis”, advierten desde Reduar.
Finalmente, advierten que la Anatoxina-a fue implicada por la muerte de un joven estadounidense de 17 años de edad, quien murió dos días después de ingerir agua al nadar en un estanque que contenía una floración de algas, luego de entrar en shock antes de morir por paro cardíaco. Otros tres adolescentes que nadaban en el estanque al mismo tiempo que los anteriores, pero que no se habían sumergido en el agua, desarrollaron síntomas menores.
“Las pruebas de muestras de heces de los dos niños afectados revelaron la presencia de células de Anabaena flos-aquae. Los resultados de los análisis iniciales realizados en hígado, sangre y humor vítreo del joven fallecido indicaron la presencia de anatoxina, siendo negativas para otras toxinas de cianobacterias. El médico forense concluyo que anatoxina-a fue la causa más razonable de la muerte sobre la base de la información disponible, pero el diagnostico definitivo fue dudoso por el retraso entre la exposición y toxicidad manifiesta además de la falta de otras muertes humanas relacionadas con anatoxina-a”.
El legado de María Julia
Durante la tercera presidencia de Juan Domingo Perón (1973-1974), se creó la Secretaría de Ambiente de la Nación, que en ese entonces la ejerció Yolanda Ortiz, cuyo nombre inspiró a la actual ley que incentiva la formación en temáticas ambientales a quienes ejercen la función pública.
Dos décadas después, bajo la presidencia del pejotista Carlos Saúl Menem, la famosa hija de Álvaro Alsogaray, María Julia, estuvo a cargo de esa secretaría desde 1991 a 1999, teniendo al Riachuelo como uno de sus principales desafíos, y en reiteradas ocasiones prometió que el río volvería a ser navegable. Promesa que durante casi una década incumplió, no obstante el eslogan que esgrimía de “limpiar el Riachuelo en mil días”.
El periodista cordobés y director del portal Sala de Prensa Ambiental, Daniel Díaz Romero, apunta que el modelo de la gestión ambiental de Alsogaray, incidió en cierta manera en la administración cordobesista de hoy en día:
“María Julia Alsogaray marcó a fuego los paradigmas ambientales de la democracia argentina, luego de encabezar las privatizaciones de las empresas estatales ENTEL y SOMISA en 1991, bajo la consigna del achicamiento del Estado. Durante su primera presidencia, Carlos Menem la designó en la Secretaría de Recursos Naturales y Ambiente Humano de la Nación. Desde entonces, María Julia instaló una mirada economicista del “dejar hacer” a las empresas contaminantes y depredadoras de los bienes colectivos–que persiste desde entonces trasladada a los organismos cordobeses- y una postura ideológica muy definida:”
“Alsogaray, como secretaria de Ambiente de la Nación, dio una charla a los alumnos de la Escuela Nacional de Inteligencia -futuros espías de la SIDE- en donde recomendaba “vigilar” a los activistas, ya que el medio ambiente era un terreno en el que existían fuentes potenciales de conflicto, lideradas por una corriente ideológica que se había quedado sin ámbito de acción (a pocos años de la caída del Muro de Berlín). Todo un posicionamiento del organismo primario que regía las políticas ambientales. Un paradigma que aún hoy persiste en los despachos de la devaluada Secretaria de Ambiente provincial”.
De María Julia Alsogaray a Fabián López
Si hay una figura a la que siempre se le endilga la responsabilidad de la situación del lago San Roque, es el ministro “anfibio” Fabián López, merecedor de ser considerado como el heredero de María Julia. Desde el año 2002 al 2006, fue director de la Dirección Provincial de Agua y Saneamiento (DiPAS), para luego ser subsecretario Nacional de Recursos Hídricos de la Nación hasta 2012. A partir del 2013 en adelante, ejerce el Ministerio de Servicios Públicos de la Provincia.
En su periodo a cargo de DiPAS, varios habitantes colindantes del San Roque recuerdan cuando el actual ministro López, aseguró en abril de 2003 que en tres años el lago iba a quedar transparente. Tal como le acredita la siguiente publicación obtenida del archivo de la ONG vecinal ADARSA.

No se transparentó, por contrario se enturbió la cosa, cuando el funcionario ascendió al cargo nacional, de la mano de otro López, más inefable. Se trata de José López, ex secretario de Obra Pública, recordado por intentar ocultar bolsos repletos de fajos de billetes, que hasta el día de la fecha no se han esclarecido su origen.
Fue en el año 2008, cuando Supercemento, la cuestionada brasilera Odebrecht y el Grupo Roggio ganaron juntas una licitación para la construcción del “Sistema de Potabilización Planta Paraná de las Palmas”, para el abastecimiento de agua potable en la región del Nordelta. Obras que estuvieron a cargo de la cartera López – López.
Ver El Grupo Roggio implicado en las coimas de Odebrecht
Actualmente, se espera el juicio penal oral y público contra funcionarios públicos y empresarios, procesados por el direccionamiento de la licitación, la existencia de enormes sobreprecios en esas obras, y desvío de fondos a cuentas offshore. Los acusados son el ex ministro Julio De Vido, el secretario José López, los empresarios Aldo Roggio, Carlos Wagner, y otros más.
Los negocios sobre el Lago San Roque
Previamente, los dos López habían estado a cargo de la prometedora planta de efluentes cloacales, solventada con fondos nacionales que se concretó en Villa Carlos Paz, que supuestamente iba a solucionar el problema. Y quien se hizo cargo de la obra es el eterno Grupo Roggio, en unión con la también cuestionada Electroingeniería.
La inauguración de la planta la efectuó en enero de 2008, la presidenta Cristina Fernández de Kirchner. Escoltada por el ministro de Infraestructura Federal Julio De Vido, a su vez acompañado por José y Fabián López. Pasó una década y media, y el lago sigue teniendo los mismos problemas.

En ese marco tras la supuesta búsqueda de la prometida transparencia de las aguas, se contrató también con Roggio y Electroingeniería, la instalación de aireadores en las cercanías del paredón del dique, mediante tuberías que inyectaban aire a presión en las aguas del lago. Asegurándose que con ese complejo de obras adjudicadas a esas mega constructoras, brillaría la ansiada transparencia en esas aguas. Que evidentemente no se logró, y tampoco respecto esas contrataciones.

Curiosamente, al volver a Córdoba y pese estar procesado penalmente, Fabián López pasó del agua al gas. Ya que estuvo a cargo de la mega millonaria obra de los diez gasoductos troncales, cuatro de los cuales los construyó Odebrecht. Siendo esta una de las pocas obras de la mega empresa brasilera en todo el territorio argentino, que no desencadenó una causa penal. Córdoba es quizás la única región del planeta Tierra, donde Odebrecht no pagó coimas.
Ver EXCLUSIVO: los siniestros mega gasoductos de Macri y Schiaretti
Hoy, muy lejos de sus pronósticos de “transparencia”, una de las últimas declaraciones públicas de Fabián al respecto, en el año 2016, flanqueado del entonces flamante secretario de Ambiente nacional el rabino Sergio Bergman, otro heredero del modelo de María Julia Alsogaray, fue la limitada esperanza de que el San Roque no se convierta en el nuevo Riachuelo.

Sin embargo, eso no evitó que la Provincia concretara otros grandes negocios por arriba del agua verdosa. Como el magnífico puente construido sobre el lago, autodenominado “José Manuel de la Sota”. Contratado con la empresa Astori, cuya presidenta fue patrona y ahora es una gran amiga del gobernador Schiaretti. En consorcio con la constructora Chediack, cuyo titular del mismo apellido es de los confesos pagadores de coimas en el escándalo de los Cuadernos.
Ver El “Negoción” del puente más grande de Córdoba, a cargo de empresas amigas y coimeras
En el 2017, Juan Chediack, titular de la empresa Chediack, se presentó como arrepentido en el escándalo de la causa del Cuadernogate en Comodoro Py. Después que el ex titular de la Cámara Argentina de la Construcción, Carlos Wagner, confesara que Chediack era uno de los empresarios que pagaba coimas, como integrante del “club de la obra pública”.
Dichas investigaciones señalan que aquella Cámara era el lugar donde los integrantes del club, concertaban respecto quiénes ganarían las licitaciones, con qué ofertas, y qué retribución recibían los que no ganaban. Al igual que Wagner, Chediack también fue titular de dicha cámara empresarial, entre el 2014 a 2016. Chediack también estuvo a cargo de los tramos viales, en los dos tramos del puente.
En su primera gestión como gobernador (2007 – 2011), Schiaretti ya había salvado las finanzas de Astori, al obsequiarle la remodelación del Estadio Kempes. Cuyas socias para esos trabajos fueron SAPYC SRL y VIMECO SA, entidades que figuran como aportantes de la anterior campaña de Schiaretti para gobernador, con el frente Unión Por Córdoba.
Ver Córdoba: ¿Cómo se “construyeron” las campañas de De la Sota y Schiaretti?
Dicho puente también funciona como un deja vú, al ser un paralelo del primer Dique San Roque, que también cuenta con su historia nauseabunda como suele ponerse el lago. La constructora del viejo dique, que fue reemplazado por el actual, fue la compañía Funes & Bialet. Siendo Félix Funes nada menos que el cuñado de los presidentes Julio Argentino Roca y Miguel Angel Juárez Celman. Quien además era diputado provincial, y por eso no fue preso cuando la justicia cordobesa detuvo a Juan Bialet Massé, el socio de Funes, y al inspector de dicha obra Carlos Cassaffousth, en 1890.
Ver Viejo Dique San Roque: el monumento a la corrupción de Roca y Juárez Celman
Entre el nuevo y glamoroso puente y el derrumbado primer dique, se encuentra ubicada además la siniestra “Casita de Hidráulica” o “El Embudo”. Que fue un centro clandestino de detención durante la dictadura militar, operado por los policías del D2, por donde desfilaron los policías más sádicos de Córdoba. “En este verdadero “bunker” llegaron a desarmar autos robados, infringir todo tipo de torturas, asesinar y desaparecer.” Dejando la leyenda que muchos desaparecidos con pesas de cemento, habrían terminado en el fondo del lago, cerca del paredón del dique.
Finalmente, para el año 2019, la Provincia y la Municipalidad de Villa Carlos Paz firmaron un Plan de Saneamiento, que consiste en el avance de la obra de cloacas; controles permanentes para evitar todo tipo de volcamientos; funcionamiento de un laboratorio de biorremediación; y la limpieza de las costaneras, tanto del lago como del río San Antonio. Resulta llamativo que después de dos décadas, donde tanto provincia como municipio fueron manejados por la misma dirigencia política, recién ahora se les haya ocurrido lo más básico.

Denuncias y censuras
Son varias las denuncias de índole penal que se han presentado respecto la contaminación del lago San Roque. En algunas se endilga la responsabilidad a la Provincia, en otras a la municipalidad de Villa Carlos Paz, en otras a la Cooperativa Integral de Servicios Públicos de susodicha ciudad, a comerciantes, etc.
Una de las denuncias, de la que se espera algún avance al respecto, fue presentada en el año 2018 por la ONG Lucadesa (Lucha contra la Contaminación Ambiental en Defensa de la Salud), creada y presidida por Carlos Matheu, un ex fiscal de Instrucción de la provincia.
La presentación apuntó a la existencia de 60 establecimientos comerciales, desde la hotelería hasta la gastronomía, ubicados en Carlos Paz y zonas aledañas, que realizaron conexiones clandestinas, para transportar sus residuos hasta volcarlos al lago. La investigación se basó en una serie de actas labradas por Policía Ambiental, desde el año 2013.

“Se tiene que invertir mucho dinero en cloacas y en el saneamiento del lago, que son obras que no se ven. Y esto no se quiere que se visualice porque afecta al turismo. La gente va a preferir irse a Mar del Plata. Y con esa historia, venimos desde hace dos décadas, aguantando esta cloaca a cielo abierto. Hay que decir la verdad: esto es un pozo ciego a cielo abierto”, resalta, en forma muy enfática Carlos Matheu, a la hora de tratar de comprender por qué no prosperan las causas para investigar la contaminación del San Roque, por parte del aparato judicial cordobés.
También, el fiscal ´lanzó críticas a la labor de las empresas periodísticas: “Los grandes medios de comunicación no lo exponen porque reciben pauta oficial. Es claro que hay una censura tácita. Imagínense si los grandes medios hablaran de las cianobacterias, de tener el riesgo de contraer cáncer, por la exposición crónica. Sería un escándalo”.
Finalmente, Matheu resaltó que él era un invitado recurrente en el programa televisivo cordobés Ojos de la justicia, conducido por el periodista Daniel Otero. Allí, tenía su espacio para exponer temáticas penales ambientales, en particular sobre el caso San Roque. El programa fue levantado en mayo de 2019, luego de haber realizado un duro informe contra el actual vicegobernador Manuel Calvo y sus negociados con la obra pública. Otero murió un mes después de haberse levantado su programa.
Ver Brutal censura a un programa de TV que denunciaba la corrupción del gobierno de Córdoba
Dos meses después de la muerte de Otero, el presente cronista consultó a Matheu sobre lo ocurrido y aseguró: “Fue terrible lo que le pasó. Porque levantar un programa así, es una censura que solo se puede esperar de un régimen autoritario”. Y ratificó sus dardos respecto la complicidad de los medios tradicionales: “Lamentablemente, es una demostración de cómo funcionan los medios de comunicación corporativos, para que la gente no se entere de las cuestiones penales, como el caso del lago San Roque”.-
"Como lo pudiste constatar, nuestras investigaciones, son fundadas, independientes, con datos públicos y verificables y siempre sobre el poder real. Su producción lleva días, semanas, hasta meses de trabajo. Y son abordadas con la mayor honestidad, profesionalidad y rigurosidad periodística. Si está a tu alcance, podes colaborar con este periodismo libre, de calidad, sin injerencia de empresas o gobiernos"



