Hace unos meses, la suba de casos de sarampión en algunos países, principalmente en Canadá, desató una ola de alarmismo en la prensa y organismos de salud, quienes uniformemente en distintas latitudes auguraron una posible catástrofe por culpa de los “antivacunas”.
Nuestro país está libre de sarampión desde el año 2000, gracias en gran parte a un sistema estricto de vigilancia y notificación de casos. Cuatro turistas uruguayos que circularon por el territorio nacional portando la enfermedad en noviembre de 2023, motivaron que se lanzase una alerta y se notificaron otros casos sospechosos, como suele hacerse por rutina ante alarmas generada por la OPS y los EEUU.
Unos meses antes de eso, en junio de 2025, se habían producido una treintena de contagios de sarampión, originados por un turista ruso. Sin embargo, no existe ningún registro que indique que los argentinos contagiados en esa ocasión no tuviesen sus vacunas del calendario obligatorio.
Casualmente se dio la coincidencia qué a los pocos días de producida esta alerta, tuvo lugar en el Congreso Nacional una exposición de diversos profesionales críticos de las vacunas. Fue por ese motivo que algunos lobbistas de los grupos farmacéuticos en puestos de gobierno, como el Dr. Pablo Yedlin, aprovecharon la ocasión para poner el grito en el cielo, y declararon a la prensa que por culpa de los “antivacunas” estaban creciendo los casos de sarampión en el país. Notas de prensa auguraron la vuelta de las viejas epidemias si continuábamos así, y pidieron medidas más estrictas contra los “antivacunas”. Pero en realidad no había habido ningún brote.

En Chile, el Ministerio de Salud decidió emitir una alerta nacional debido a la problemática “caída de la vacunación” en Argentina. La vocera del presidente, Camila Vallejo, se hizo eco de las declaraciones mediáticas de los funcionarios argentinos, y dijo en una conferencia televisada que en Argentina estaba creciendo el sarampión por la baja en vacunación, instando a la población a vacunarse y no ceder a supuestas campañas “antivacunas”. Entonces el Ministerio de Salud argentino debió salir a desmentirla, reconociendo en un comunicado que no había ningún brote de sarampión en Argentina, y los casos sospechosos habían sido descartados.
Es cierto que existe cierta merma en la vacunación en el país en comparación a años anteriores, aunque hay que señalar ésta no ha ocurrido tanto respecto a los más pequeñitos, sino más bien en los refuerzos de 5 años, y en la vacuna contra el VPH dada a las niñas a los 11. Una vacuna de efectividad muy discutida, que no es obligatoria en ningún otro país del mundo, y que algunos estudios relacionan con efectos secundarios graves en personas predispuestas, como disautonomía autoinmune o fibromialgia, especialmente la Gardasil de Merck.
Debe tenerse en cuenta que nuestro calendario de vacunación obligatoria es uno de los más abultados del mundo, contando, sólo entre el nacimiento y los 12 meses de edad, con 27 dosis de diferentes vacunas contra 18 enfermedades. Para establecer una comparación, a principios de los años ’90 el calendario de vacunación tenía 5 vacunas para 9 enfermedades, y sólo una de ellas (la BCG) se daba antes del año de vida. Y acá estamos vivos y sanos casi todos los de más de treinta años, sin haber originado ninguna epidemia.
Como parte de la avanzada general “anti-antivacunas”, la provincia de Mendoza reglamentó en agosto severas sanciones contra los padres que no cumplan con algunas de las vacunas del calendario. La provincia ha denunciado judicialmente a los padres reticentes, y evalúan que podrían sancionarlos con una multa económica, trabajo comunitario, algunos días de arresto o implementar la vacunación forzosa mediante la fuerza pública, dependiendo de si el juez se inclina por el código contravencional provincial o el nacional.
Esta dura ley provincial se ampara en la ley nacional 27.491, redactada por Pablo Yedlin y Carla Vizotti, ambos con reconocidos lazos con los laboratorios y los fabricantes de vacunas. La ley, aprobada en 2018, cuando la cobertura de vacunación era de alrededor del 90%, es incomprensiblemente draconiana en sus sanciones, estableciendo multas muy onerosas, y la vacunación forzosa por la fuerza pública de bebés recién nacidos y niños que no tuviesen todas las vacunas exigidas. Vizotti es también la principal responsable del generoso calendario de vacunación, en su tránsito por el Ministerio de Salud entre 2007 y 2016.
VACUNAS: Las vidas paralelas del boss Hugo Sigman y la ministra Vizzotti (1)
Ni en EEUU ni en la mayoría de los países de Europa la vacunación es obligatoria por ley, aunque se la recomienda fuertemente. En general hay más posibilidades de exenciones individuales por temas de salud, religiosos o filosóficos.
VACUNAS: vidas paralelas de Sigman y Vizzotti (2) con U$S 683 millones
Poniendo en perspectiva los brotes actuales.
La alarma que llegó a nuestro país tenía más bien que ver con la situación en los EEUU, donde hubo 2281 casos de sarampión a lo largo de 2025 (entre 347 millones de habitantes), y hubo tres muertes, al parecer resultado de un tratamiento médico inadecuado. Al igual que acá, gran parte del escándalo se debe a una “guerra de titulares”, buscando culpar de una posible epidemia de sarampión al Secretario del Departamento de Salud y Servicios Sociales, Robert F. Kennedy, conocido por su posición crítica a la industria farmacéutica y los fabricantes de vacunas.
Es que Kennedy realizó “limpieza” y despidió a la mitad de los empleados de los CDC (Centro para el Control y Prevención de Enfermedades, un híbrido entre el Departamento de Defensa y el de Salud) y reemplazó a todos los directivos de su ACIP (Comité Asesor sobre Prácticas de Inmunización), que trabajaban para la Big Pharma.
BIG PHARMA: el eterno lobby de Hugo Sigman “el señor de las vacunas” en Casa Rosada
Pero, ¿realmente estos brotes se deben a la reticencia a la vacunación?
Puede que esta juegue algún papel, sin embargo en el brote más grande y mejor estudiado en Quebec, Canadá, en 2011, casi la mitad de los casos estaba vacunado con dos dosis. En España hubo un brote ese mismo año, en una población con una cobertura vacunal del 95%. Todo indica que el problema no son los antivacunas, sino que es la vacuna que está fallando.
En Europa también hubo aumento de casos de sarampión en 2024, sobre todo en Rumania. En todos los casos los brotes se dieron en grupos marginados como los gitanos, donde es común la hacinación y que no les lleguen las vacunas. Luego en 2025 los brotes disminuyeron naturalmente.
El sarampión es una enfermedad muy contagiosa, por lo tanto tiene sentido exigir un porcentaje alto de población vacunada. ¿Es una enfermedad muy grave? No, la mayoría de los casos de sarampión son benignos, y el 99,99% de los casos se recuperan por completo con reposo e hidratación.
En los años ´50 y principios de los ’60, antes de que se introdujese la vacunación por sarampión, en los países desarrollados casi todos los niños lo contraían y quedaban inmunizados de por vida. (Dicho sea de paso, esto no ocurre con la vacuna, que parece perder efectividad en 10 o 15 años).
Países donde está más extendida la desconfianza hacia las vacunas y hay una tasa un poco más baja de vacunación, como Francia, tienen ciertamente más casos de sarampión que sus vecinos, pero casi nunca traen complicaciones, salvo en personas inmunodeprimidas. En países como Afganistán o Zimbabue, en cambio, sí hay cientos de muertes por sarampión y otros cuadros agravados por esa enfermedad, pero ello se debe a que allí ataca a bebés desnutridos, con falta severa de vitamina A, y muchas veces en parajes remotos.
Esto nos recuerda la célebre frase del Dr. Ramón Carrillo, el gran sanitarista nacional, erradicador del paludismo, la sífilis y la brucelosis, y autor también de las primeras grandes campañas de vacunación, quien dijo: “Frente a las enfermedades que genera la miseria, frente a la tristeza, la angustia y el infortunio social de los pueblos, los microbios, como causas de enfermedad, son unas pobres causas”.
Efectivamente, las estadísticas muestran que no fueron las vacunas, como se cree, sino la mejoría en las condiciones generales de higiene, atención de salud, seguimiento de casos, buena alimentación, en los sectores más pobres de la sociedad, junto a inventos como la refrigeración y el inodoro, las que ya casi habían terminado con las muertes por enfermedades infecciosas infantiles mucho antes de que se introdujese la vacunación masiva.
Por lo cual podemos estar seguros de que las grandes epidemias del pasado no volverán, mientras nuestra situación social no sea la de Zimbabue.
En caso de complicación, el sarampión puede tratarse efectivamente con vitamina A, ribavirina (antiviral) e inmunoglobulina (en pacientes inmunodeprimidos).
El triple balance.
Pero aún cuando no tengamos que temer esas altas mortandades del pasado, no habría ningún motivo para prescindir de las vacunas, si pueden ayudar a que no pasemos por la molestia de la enfermedad y sus posibles complicaciones. Salvo, claro, que las vacunas tuviesen algún efecto secundario que fuese peor que la enfermedad que buscan evitar.
Una vacuna debe pasar tres requisitos: Necesidad, eficacia y seguridad. Estos requisitos además se balancean mutuamente. Si hay mucha necesidad (porque no hay remedios contra esa enfermedad y es grave), se puede ser más flexible con la seguridad. Si la seguridad es total (prácticamente no hay efectos secundarios graves), la poca necesidad no es un obstáculo para considerarla una protección ante una eventualidad. Pero si hay poca necesidad, dudas sobre la eficacia, o la seguridad no es completa, o no lo es al menos para cierto sector de la población, entonces hay argumentos para no ponerse esa vacuna.
Es por ello que los voceros de la industria farmacéutica siempre elevan los ojos al cielo ante cualquier objeción, afirmando la indudable necesidad y la absoluta seguridad de todas las vacunas. Los efectos adversos, que no tienen por qué ser inmediatos, sino que pueden darse años después, siempre son minimizados y se niega cualquier vínculo causal. Los médicos que han intentado investigarlos se han visto duramente desacreditados y sin acceso a fondos para investigación.
Sin embargo sería absurdo negar la posibilidad de efectos secundarios. Inyectar algo directamente en el torrente sanguíneo, evadiendo las principales defensas naturales que nuestro cuerpo tiene en las mucosas y el sistema digestivo, es mucho más riesgoso que otras exposiciones ambientales.
Justamente porque se temen efectos adversos, es que el proceso de fabricación de una vacuna es muy cuidadoso. Suele incluir años de pruebas antes de ser lanzadas al mercado. Sin embargo, más de una vez se ha pescado a los grandes laboratorios maquillando los resultados de los estudios para ocultar falta de efectividad, como en el célebre caso de Merck con la vacuna para las paperas.
Y también los efectos adversos, como Merck también con su vacuna para el VPH. La industria farmacéutica mueve miles de millones de dólares en ganancias, especialmente con las vacunas. Nuestra fe en la seriedad del “Estado que nos cuida” supervisando la seguridad de esos productos debe ser muy grande. Eso es lo que se ha erosionado hoy en día, y no sin razón.
Por otra parte, el sistema inmune es mucho más complejo de lo que se suele creer, y aún hoy se siguen descubriendo novedades. Recientemente, por ejemplo, ha surgido cierta evidencia de que quienes estuvieron expuestos a una infección por sarampión de niños, poseen mejores defensas contra el cáncer en su edad adulta. Hay alguna evidencia también de que la vacunación contra la gripe pudo empeorar los cuadros de Covid, aunque como veremos luego, todo lo relacionado con el Covid está rodeado de incertidumbre.
Buscando material para esta nota, encontramos un estudio reciente realizado por Kirstin Cosgrove, Breanne Craven, Peter A. McCullough y equipo, titulado “Deaths Following MMR and MMRV Vaccination in the United States”. El estudio examinó meticulosamente las muertes infantiles ocurridas posteriormente a la vacunación para sarampión, tanto con la triple viral (sarampión, paperas y rubéola) como con la cuádruple (sarampión, paperas, rubéola y varicela) en los Estados Unidos, de 1995 a 2025, en base a los reportes realizados al VAERS (Sistema para Reportar Eventos Adversos de las Vacunas).
Encontraron que hubo 299 muertes de bebés y niños pequeños, la mayoría de ellas (93%) entre 7 y 14 días después de recibida la vacuna. Los decesos fueron en general registrados como “muertes súbitas”. Si bien el número de muertes puede parecer relativamente pequeño en relación a la población de los EEUU y el lapso de tiempo escogido, fue de todas formas muy mayor a las muertes reportadas por sarampión en el mismo período, que fueron siete.
Debe tenerse en cuenta además que los reportes al VAERS son voluntarios. Se considera en general que las cifras del VAERS están muy subestimadas, y muchos padres en esas situaciones no relacionan la muerte de su hijo con la vacunación.

Tampoco se registraron en el período prácticamente muertes por rubeola, siendo 0 o 1 por año, y las muertes por paperas fueron 13 en total. En los dos casos fueron mucho más bajas que las muertes asociadas a la vacuna.
La vacuna contra la varicela, en cambio, sí ha sido efectiva. Antes de la introducción de las vacunas, había unas 100 muertes infantiles por año por varicela en EEUU (entre 4 millones de casos). Aunque la varicela también es una enfermedad leve y sin complicaciones en general para cualquier niño sano y fuerte, al haber muchos casos, podía terminar afectando a algunos niños inmunodeprimidos, y sobre todo a recién nacidos y lactantes.
Vemos entonces que hay vacunas y vacunas. Para algunas se puede defender su necesidad, para otras la necesidad es baja, las hay peligrosas y menos peligrosas; y cuando son muchas, al combinarlas, se potencian sus posibles efectos adversos.
Pero incluso ante una vacuna efectiva, nos encontramos ante un dilema más filosófico. ¿Se les puede decir a los padres de los niños que resultaron afectados al azar por una vacuna, que sus hijos sanos debían ser sacrificados para lograr la inmunidad de grupo? Evidentemente no se puede exigir eso, y allí se centra toda la discusión.
El caso tan discutido del aumento del autismo y otros trastornos como TDAH, dislexia, alergias alimentarias, dermatitis atópica, ocurrido sobre todo desde los años ’90, ha generado toda suerte de acusaciones cruzadas. Se ha pretendido que los casos no aumentaron, sino que sólo se diagnostican mejor, o se ha acusado de su aumento a los agrotóxicos y otros factores ambientales.
Sin embargo ese aumento general también coincide en el tiempo con un creciente agregado de adyuvantes como el aluminio o el timerosal en las vacunas. Probablemente el autismo tenga un origen multifactorial, pero los antígenos y adyuvantes, cuyas cantidades se multiplican en el calendario cada vez más abultado de vacunas, son factores contribuyentes muy probables, y existen varios estudios respaldando esa posibilidad.
Estudios en comunidades menonitas, que no vacunan a sus hijos, han demostrado que sus niños tienen un porcentaje mucho menor de autismo, un sistema inmunitario más maduro y casi no tienen alergias alimentarias. Factores como vivir en granjas seguramente tienen algún peso.
Es sabido que el aluminio tiende a acumularse en el cerebro, y juega un papel importante en las enfermedades mentales degenerativas. Por otro lado, médicos como el Dr. Yehuda Shoenfeld han presentado abundante evidencia de que muchas enfermedades autoinmunes comienzan por la sobreestimulación del sistema inmune en personas susceptibles.
Además, siempre pueden ocurrir contaminaciones durante la fabricación de una vacuna, independientemente de lo que diga el prospecto. La Dra. Antonietta M. Gatti y el Dr. Stefano Montanari, en su trabajo “Nuevas investigaciones de control de calidad sobre vacunas: microcontaminación y nanocontaminación”, encontraron partículas metálicas de elementos contaminantes no declarados en el prospecto en varias vacunas tradicionales (VPH, gripe, hepatitis B). Estas incluían plomo, tungsteno, oro, cobre, níquel, circonio, cromo y otros. También encontraron restos de ADN humano y animal. Se supone que todo ello se introdujo accidentalmente durante el cultivo.
Sería muy fácil determinar si las vacunas son culpables de algunos de los males que se le achacan: Simplemente habría que seguir a un grupo grande de niños vacunados y otro de no vacunados durante cierto número de años, pero no sabemos que nadie haya estado interesado en financiar un estudio así.
No queremos aquí inducir a la histeria, puesto que no somos especialistas. Sólo queremos mostrar que a los críticos de las vacunas no les faltan argumentos. El tema debería poder debatirse en los ámbitos adecuados con datos concretos. Si una enfermedad no es casi riesgosa para un niño bien alimentado, y en cambio existe la incertidumbre respecto a la manera en que podría afectarle una vacuna, aunque sea un caso en mil, los padres deberían poder decidir si prefieren confiar más en el sistema inmunitario y los tratamientos, o en los laboratorios, ante una eventualidad desagradable.
Pero evidentemente a los gobiernos no les conviene decir estas cosas. Les conviene que la masa se vacune, e intentar velar por la seguridad de las vacunas, en el caso en que lo hagan y realmente tengan alguna idea de qué es lo que compran a granel. Desgraciadamente parecen no saberlo mucho ni importarles, y confían ciegamente en las grandes farmacéuticas.
La discusión técnica deberán finiquitarla los especialistas. Por nuestra parte, queremos llamar la atención sobre un aspecto mucho más importante, en relación al trasfondo social del supuesto y exagerado fenómeno “antivacunas”.
Si hay más gente con desconfianza hacia las vacunas, su aparición no se dio de casualidad. La confianza en la vacunación estaba intacta en la población, hasta el gran experimento médico de la pandemia de 2021.
Vizzotti y el negociado de las inmunizaciones sin inmunizados
La caída en la confianza en las vacunas entre la población general se debe a que los mismos organismos que ahora ponen el grito en el cielo por algo relativamente manejable como el aumento de algunos casos de sarampión, hace cuatro años coaccionaron a toda la población a inyectarse un brebaje experimental de ARNm, con efectos secundarios completamente desconocidos, que ha resultado en muertes y una plétora de efectos secundarios graves e incapacitantes para cientos de personas.
Las vacunas tradicionales pueden tener riesgos graves que se deben analizar, pero al menos fueron probadas en ensayos clínicos durante años. La situación con la “vacunas” de ARNm fue incomparablemente peor desde todo punto de vista. Sin duda el peor caso de iatrogenia de la historia, y una catástrofe aún oculta y silenciada.
VACUNAS COVID: El curro de U$S 320 millones de PFIZER – ELEA y Sigman
El desastre de las vacunas de ARNm.
Parece que todo el mundo se hubiese olvidado de la pandemia ya, y de todas las medidas disparatadas que se tomaron, como si fuese un mal recuerdo, una pesadilla que se terminó de un día para otro, sin que nadie volviese a decir una palabra sobre lo ocurrido.
Sin embargo, cuadros tales como fatiga crónica, disautonomía, fibromialgia, enfermedades neuropáticas y algunas enfermedades autoinmunes, han crecido dramáticamente en el mundo después del 2021.Según los CDC de EEUU, la fatiga crónica ya afecta a 3,3 millones de estadounidenses, con un incremento notable después de 2021.
Como es “tabú” dudar de las vacunas experimentales o siquiera mencionarlas, se ha decidido achacarlo todo oficialmente al “Covid prolongado”, solamente por el hecho de presentarse los síntomas a partir de 2021, aunque quienes sufren hoy esos cuadros protesten que no tuvieron Covid y tenían todas sus vacunas al día.
Otros cuadros como cánceres agresivos de rápida expansión también crecieron entre jóvenes en el mundo entre 2021 y 2023, y en muchos reportes se ha encontrado una asociación con un evento de vacunación anti-covid cercano en el tiempo. E incluso aparición de tumores en sitios cercanos al lugar de la inyección, como reportan en 2026 Charlotte Kuperwasser y Wafik S. El-Deiry, de la Universidad de Boston y la Universidad de Brown[i].
Sobre epidemias, vacunas y el futuro
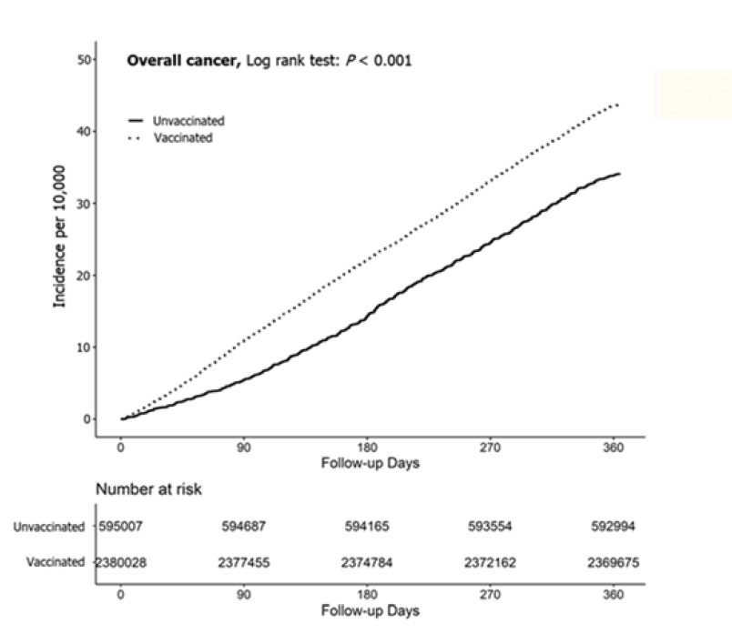
Desgraciadamente en nuestro país los datos no están actualizados y es difícil encontrar una estadística general, pero algunos estudios de otros países que se enfocaron en el tema son elocuentes. En Corea del Sur, un estudio sobre más de 8 millones de personas encontró un mayor riesgo de seis tipos específicos de cáncer (de tiroides, gástrico, colorrectal, de pulmón, de mama y de próstata) entre los vacunados contra Covid, en comparación con los no vacunados[ii].
Las vacunas de ARNm parecen haber afectado de diferentes maneras a las personas, según el punto débil de cada uno, agravando las dolencias o tendencias preexistentes.


Asimismo, hubo incontables casos de formación de trombos sanguíneos post-vacunación, que muchas veces terminaron en trombosis, afectando principalmente el cerebro, pero dándose también de manera masiva en varios órganos, especialmente en el caso de las vacunas que utilizaban vectores virales. En muchos pacientes se observó también, además de trombos, un recuento de plaquetas muy bajo (trombocitopenia), lo cual es muy extraño en una trombosis venosa normal, y parece señalar un proceso autoinmune. Cuando las plaquetas bajan mucho se producen hemorragias.
Asimismo, hubo un número alto para cualquier vacuna de afecciones cardíacas, como la miocarditis o pericarditis, afectando a una cantidad inusual de jóvenes. Esto último tal vez explique el llamativo crecimiento de descompensaciones y muertes de deportistas jóvenes en el campo de juego, que ha resultado particularmente visible y difícil de ocultar, aunque los sitios de fact-checkers se empeñan en negarlo.
En los EEUU, se registraron 325 muertes súbitas de atletas en 2021, cuando el promedio anual de años anteriores era 4. La miocarditis suele ser la principal causa de ese tipo de episodios fatales. Ese sector de la población tenía un riesgo prácticamente nulo de morir por Covid, pero en cambio su riesgo de miocarditis es mayor.

Sólo en 2021, hubo 24.177 informes de pericarditis y miocarditis relacionados con las vacunas anticovid enviados al VAERS, la mayoría en personas jóvenes, y no fueron cuadros tan leves como se sostuvo apresuradamente para calmar a la población.

Estadísticas que nos llegan de Brasil indican que, al menos allí, las hemorragias intracerebrales y los infartos de miocardio siguen creciendo luego del evento masivo de vacunación anti-covid.

Se registraron efectos adversos similares de todas estas vacunas, a pesar de su diversidad, tanto las de ARNm de Pfizer y Moderna, como la de vectores virales de AstraZéneca/Imperial College (que variaban en el tipo de plataforma, pero actuaban de manera similar), e incluso la Sinopharm china, que supuestamente era una vacuna tradicional de virus inactivados. En todas las marcas se pudo registrar un aumento de indicadores de inflamación, hipoxia silenciosa y coágulos sanguíneos posteriores a la inoculación.
¿Por qué no se investiga a fondo la posibilidad de que muchas patologías desarrolladas a partir de 2021 se deban a las neovacunas anti-covid, cuando las afecciones que se presentan son coincidentes con lo observado en eventos inmediatamente posteriores a la vacunación, muchos reconocidos en el prospecto como posibles efectos secundarios, como trastornos neurológicos autoinmunes?
El patólogo Ryan Cole ha comprobado mediante el uso de test de D-dimero que hay microcoagulación de la sangre en todo el cuerpo al inyectar las vacunas de Pfizer y Moderna, lo cual explica perfectamente los cuadros de trombosis y trombocitopenia. Enormes coágulos sanguíneos y reacciones autoinmunes descontroladas, similares a las del cuadro de Covid grave, se han documentado en varias autopsias a personas que fallecieron luego de la administración de estas vacunas.
El Dr. Arne Burckhardt realizó autopsias a 43 pacientes fallecidos a los pocos días de aplicarse las vacunas Covid, encontrando una relación indudable entre la aplicación de la dosis y la muerte en 22 de esos casos. En las muestras de tejidos sometidos a histopatología pudo apreciarse vasculitis, con una invasión de linfocitos y macrófagos, que señalan un ataque autoinmune a los vasos sanguíneos.

Las trombosis y paros cardíacos fueron probablemente los efectos “no deseados” a corto plazo de los inóculos, y las enfermedades surgidas de la activación de tendencias genéticas, desregulación del sistema inmune o daño neuronal, parecen ser hoy las consecuencias más comunes a mediano y largo plazo de esas desastrosas y novísimas “terapias génicas”. Que no tenían en común con las vacunas que ya conocemos hace años más que el hecho de venir en una jeringa, y que ni siquiera cumplieron la función real de inmunizar.
Todos los efectos adversos observados actualmente ya habían sido advertidos como una posibilidad antes de la temeraria introducción masiva y mundial de esta nueva nanotecnología, por médicos como Peter McCullough, Sucharit Bahkdi, Mike Yeadon o entre nosotros Roxana Bruno, quienes fueron tachados de “negacionistas”, “antivacunas”, “anticiencia”, y zarandeados por la prensa y los fact-checkers. Luc Montagner, quien ostentaba un premio Nobel, fue insultado por sus cuestionamientos incluso en los obituarios el día de su muerte.
Sin embargo, era de sentido común su planteamiento: Es una verdadera locura inocular a toda la población mundial simultáneamente con un producto que jamás había sido testeado para poder ver sus efectos a corto, medio y largo plazo en los inoculados. Más cuando ese producto interactuaba con el sistema inmune y la maquinaria celular de maneras completamente novedosas.
Si la administración de estas peligrosas vacunas se justificó, supuestamente, por una situación de emergencia, la misma ya no corre, y deberían ser inmediatamente retiradas del mercado. Algunos han argumentado que las secuelas de la infección por Sars-Cov2 eran tan malas como las de las vacunas, y afectaron a más gente.
Efectivamente hay registros de secuelas neurológicas y de otros tipos en algunos enfermos recuperados de Covid durante 2020 (cuando la causa no pudo ser la vacuna), pero como veremos luego la comparación es difícil, por la falta de confiabilidad de muchos datos. En todo caso, se debe tener en cuenta que muchos eventos posteriores a la vacunación, como episodios de síndrome de Guillan-Barre, no fueron denunciados por la gente ni notificados rutinariamente por los hospitales. Los datos han resultado muy “manoseados” por múltiples razones, y lo que se oculta detrás de todo eso parece ser mucho más siniestro.
Aunque el cuadro de covid pudiese complicarse, la situación ya estaba controlada hacia fines de 2020, en el momento de introducción de las vacunas. La tasa de supervivencia de la enfermedad en la población general era de más del 99%. El epidemiólogo John Ioannidis, en base a datos de seroprevalencia, calculaba la letalidad del Covid en 0,24% a fines de 2020, estimando que si se aplicaban tratamientos efectivos, que ya se habían desarrollado, podía bajar mucho más [iii].
En los menores de 70 años la mortalidad era todavía menor, de alrededor de 0,04%. Estos números no ameritaban de ninguna manera aplicar a todo el mundo una tecnología de resultados impredecibles que no había sido testeada con los mínimos requisitos necesarios para cualquier vacuna, y que por lo tanto podría haber ocasionado un desastre global incluso mucho peor.
De hecho el desastre ocurrió, aunque quedó oculto. Creemos que es muy probable que esas “neovacunas” y las medidas pandémicas hayan causado millones de muertes, más que la misma enfermedad, aunque la manera asombrosa en que ese dato fue escondido es digna de explicarse en detalle.
Un test infalible para un virus esquivo.
Cuando China declaró la existencia de un nuevo virus, en un paper con graves deficiencias metodológicas, realizado en tiempo express, allá a principios de 2020, hubo un virólogo alemán que no perdió el tiempo, y se lanzó inmediatamente a crear un test de diagnóstico. Se trataba de Christian Drosten, quien luego se volvería famoso por sus apariciones televisivas. En base a la secuencia genética subida a la web por las autoridades chinas, sin muestras del virus, Drosten y su equipo crearon rápidamente este primer test PCR, que luego sirvió de modelo a todos los demás.
El artículo donde Drosten y sus colegas diseñaron el test fue publicado en la revista Eurosurveillance, en la cual Drosten participaba de su consejo editorial. Se publicó un día después de ser enviado, por lo cual es evidente que no fue revisado por pares. Drosten omitió informar que dos de sus coequipers eran el director y el investigador principal de TIB-Molbiol, la cual sería inmediatamente la primera empresa en comercializar los kits PCR.

Posteriormente el trabajo fue revisado por un equipo internacional de respetados genetistas moleculares y fue duramente criticado, señalando diez errores graves[iv]. Objetando que la prueba no estaba estandarizada, no distinguía entre fragmentos de virus y virus activo, ni excluía otros coronavirus, además de otras cuestiones técnicas de peso, y por ello no era útil como herramienta diagnóstica.
Pandemia: escándalo en la Alemania de Merkel respecto fiabilidad del test PCR
En general, se ha criticado de todos los kits PCR para Covid, tanto el de Drosten como los posteriores, que nunca estuvieron estandarizados. No poseían los mismos cebadores, y no se indicaba, por ejemplo, cuántos ciclos debían utilizarse para amplificar la muestra. Este tipo de técnica da invariablemente falsos positivos si se usa a más de 30 ciclos, ya que magnifican cualquier traza de material genético en la muestra, pero no obstante ello, Drosten y la OMS recomendaron más de 35 ciclos.
Un estudio publicado en octubre de 2025 en Alemania (“Calibración de pruebas de ácido nucleico (PCR) mediante anticuerpos (IgG) en Alemania: estimación del curso de las infecciones por SARS-CoV-2”, por Günther, Rockenfeller y Walach) confirmó lo que ya sospechábamos: Los autores estimaron que sólo entre el 10% y el 14% de quienes dieron positivo por Covid en ese país, entre el comienzo de la pandemia y junio de 2021, estaban realmente infectados, según pudo cotejarse mediante pruebas serológicas con anticuerpos IgG detectables. El resto fueron falsos positivos. Además, una cuarta parte de la población alemana ya tenía anticuerpos naturales contra el SARS-Cov2 a fines del año 2020, antes de la introducción de las vacunas de ARNm.
Esta inespecificidad del test que se utilizó toda la pandemia para decidir qué era un “caso de Covid” y qué no, tal vez explique un misterio que nadie supo explicar: Por qué el Covid-19 dejaba a algunas personas con secuelas graves, pulmonares y neurológicas, mientras que la enorme mayoría lo pasaba “asintomático” sin ningún problema. ¿Era realmente siempre la misma enfermedad?
Exactamente un año después de haber recomendado utilizar el test PCR a 35 ciclos, la OMS cambió de posición en un comunicado, reconociendo que a mayores ciclos se incrementaban los falsos positivos, y recomendando qué si el cuadro clínico no coincidía, se confirmase el positivo con otro método de diagnóstico.
Seis meses después, en junio de 2021, los CDC retiraron la presentación hecha ante la FDA para que autorice el “uso de emergencia” de la prueba PCR apresuradamente validada, y recomendaron utilizar otro método de diagnóstico. Pero para ese entonces ello será inútil, y el mismo PCR se continuará utilizando en todo el mundo.
Esto tiene consecuencias muy graves, no sólo para la confiabilidad del registro de casos y muertes por Covid, sino que también afecta a la mayoría de los estudios epimediológicos y clínicos sobre la enfermedad.
Actualmente en la GISAID hay más de 16 millones de secuencias genéticas de todas las variantes, cepas y linajes del SARSCov2, provenientes de la información recabada con estos dudosos test en esos años de pánico.
Los guarismos de muertos por covid fueron groseramente falsificados.
A continuación, podemos ver algunos ejemplos de la manera en que la OMS mandó a redactar las fichas de defunción en los hospitales durante la epidemia de covid-19.
Las fichas que reproducimos a continuación están tomadas de la ORIENTACIÓN INTERNACIONAL PARA LA CERTIFICACIÓN Y CLASIFICACIÓN (CODIFICACIÓN) DEL COVID-19 COMO CAUSA DE MUERTE, de la Organización Panamericana de la Salud, la cual reproducía directivas mundiales de la OMS. Recordemos que la OMS es un mero órgano consultivo, de carácter privado, y es financiada casi totalmente por los EEUU, la fundación Bill Gates (sola o a través de GAVI), y retornos de las grandes farmacéuticas.
Estas directivas fueron tomadas acríticamente y reproducidas por casi todos los Ministerios de Salud del mundo, en virtud de convenios firmados y de la presión que se ejerció por todos los medios posibles para que todos siguiesen un solo curso de acción.
Podemos ver que en estas guías se explicita que si una persona fallecía luego de tener enfermedad de arterias coronarias durante 5 años, enfermedad pulmonar obstructiva crónica durante 8 años, parálisis cerebral durante 10 años, o HIV durante cinco años, pero había dado positivo en el bendito test de Covid (o ni siquiera, simplemente se lo considera “sospechoso de covid”), la causa de muerte que debía figurar en su ficha de defunción era el Covid y no la otra enfermedad.
No importa cuán grave fuese esa enfermedad previa, ni cuan leve fuese el cuadro de Covid, ya que a diferencia del uso adoptado hasta entonces, el criterio del médico presente no era tenido en cuenta para definir la cuestión. Los médicos fueron reemplazados por un test supuestamente infalible, que pasó a ser el único criterio para determinar la enfermedad. Todo se hacía por “protocolos” cuasi-militares, sin espacio para la iniciativa de los profesionales.
Los test PCR son una herramienta auxiliar útil, pero de ninguna manera pueden reemplazar al médico y su observación in-situ del cuadro clínico, y los estudios complementarios, para diagnosticar una enfermedad.
Para colmo, no había un cuadro clínico claro del Covid. Si alguien daba positivo con una enfermedad pulmonar grave y baja oxigenación en sangre, se lo consideraba “Covid grave”. Si sólo tenía síntomas gripales y daba positivo, se lo consideraba “Covid moderado”. Y finalmente, si no tenía nada, se lo consideraba “Covid asintomático”. Nos preguntamos realmente, bajo esas tres definiciones que cubrían todo cuadro posible, cómo era posible considerar un “falso positivo”. No existía ningún cuadro contra el cual validarlo o ponerlo en duda, el test se auto-validaba.
El concepto de “asintomático” fue utilizado de una manera ambigua durante la pandemia, confundiéndolo con el de “presintomático”. Una persona puede haber contraído una enfermedad y estar incubándola, y ser por lo tanto “presintomático”, manifestando la enfermedad más tarde. Sin embargo si nunca manifiesta síntomas de la enfermedad, es de hecho una persona sana.
En cualquier caso, ni un presintomático, y mucho menos un asintomático, podrían ser el motor de una pandemia. La posibilidad de que contagien una enfermedad pulmonar al aire libre, sin infección en la garganta, sólo por el mero hecho de respirar, puede considerarse ridículamente baja.
Pero los “especialistas” del gobierno y los médicos televisivos aseguraron que el test PCR jamás daba falsos positivos, y que los “enfermos asintomáticos” eran un peligro y debían aislarse en su casa. De hecho todos debíamos aislarnos en nuestras casas y andar por todos lados con ridículos barbijos sucios, guardados en el bolsillo junto al celular y la billetera.
Hay aún más: Por protocolo dictado por la OMS y los CDC de EEUU, este test de Covid se le hacía a cualquier persona que ingresase a un hospital, por cualquier motivo, aunque fuese un esguince, un accidente o para dar a luz, aumentando así los falsos positivos. Con la excusa de “rastrear contactos” (una de las recomendaciones insistentes de Bill Gates), una práctica sin sentido una vez que el virus ya circulaba entre la población, el gobierno salió a hacer cribados al azar en la calle, aumentando aún más los falsos positivos.
Según podemos cotejar de los guarismos publicados al comienzo de la pandemia, alrededor de un 80% de quienes daban positivo en el test PCR en nuestro país no presentaban síntomas, es decir, eran gente sana. En otros países la cifra era similar, con alrededor de un 80% de asintomáticos y un 17% o similar de sintomáticos débiles (resfríos o gripes). El lector puede realizar una comparación sencilla al alcance de su propia experiencia, recordando cuáles fueron los cuadros de quienes dieron “positivo” a su alrededor durante la pandemia. La mayoría fueron enviados a su casa con paracetamol y no tuvieron complicaciones.
Las mujeres que morían en el parto también eran anotadas como muertas por Covid.
Supuestamente estos enfermos debían presentar algún cuadro compatible con Covid, como neumonía o insuficiencia respiratoria, pero pronto esta exigencia se aligeró, y la lista de síntomas compatibles con Covid se extendió hasta incluir febrícula de 37°, dolor de garganta, diarrea, dolor de cabeza y sensación de pérdida de olfato. Como pronto se descubrió que el virus atacaba otros órganos del cuerpo, los problemas cardíacos y neurológicos también pasaron a ser clínicamente compatibles con un cuadro de Covid, si el test lo confirmaba.

Obedientemente, nuestro Ministerio de Salud adoptó el criterio dictado por la OMS, como puede verse en la CERTIFICACIÓN MÉDICA DE LA CAUSA DE MUERTE EN CASOS DE COVID-19, impresa en abril de 2020 por el Ministerio. Donde dice específicamente: “Si en la persona fallecida existían otras condiciones de salud crónicas (obesidad, enfermedad oncológica, hepatopatía crónica, inmunosupresión congénita o adquirida, hipertensión arterial, enfermedad neurológica crónica, enfermedad pulmonar obstructiva crónica, asma, diabetes, insuficiencia renal crónica, insuficiencia cardíaca, etc.)”, pero había dado positivo de Covid, el resto se consideraban enfermedades contribuyentes y debían ser reportadas en las observaciones, y no como causa de muerte.

Solo quedaban excluidas las muertes que no podían atribuirse al Covid ni siendo lo más amplio posible, como un accidente de tránsito. En la práctica su registro fue bastante “inclusivo”, y quienes trabajan en hospitales saben que se recibieron extrañas presiones tendientes a “inflar” los números de casos todo lo posible.
En una directiva incomprensible, la OMS además “sugirió” cremar los cuerpos de los fallecidos por Covid y no realizarles autopsias.
Por resolución 326/2020 de la Superintendencia de Servicios de Salud, el Estado Nacional dispuso un pago monetario a las clínicas privadas por cada cama ocupada por un paciente con covid. Por casos sospechosos, el Estado les abonó hasta $ 10.000 (unos 340.000 pesos actuales) por día, hasta 7 días. Por casos graves, hasta $ 19.700 por día ($ 670.000, al valor actual), por 14 días; los cuales ascendían a $ 23.640 si el internado necesitaba asistencia de respirador.
Naturalmente, las clínicas empezaron a reportar que sus Unidades de Terapia Intensiva estaban llenas de pacientes con Covid. Aunque de todos modos, jamás estuvieron “desbordadas”, como dijo la prensa e incluso funcionarios nacionales, sin ningún fundamento. Ninguna estadística mostró que su capacidad estuviese muy por fuera del promedio de otros años, en ningún momento de la pandemia. Hay que decir que esta medida de “incentivos monetarios” no fue inventada aquí; como todo, también fue calcada de los EEUU.
En resumen: Es evidente e inevitable que un test que daba una enorme cantidad de falsos positivos; más la forma “protocolizada” de llenar las fichas de defunción; más las presiones recibidas desde el Ministerio de Salud y los incentivos monetarios a las clínicas privadas; condujeron a que al menos una gran mayoría de los ancianos y enfermos graves que murieron por complicaciones de un cuadro respiratorio, como ocurre todos los años, e incluso por otros cuadros de enfermedades diversas, fueron anotados como FALLECIDOS POR COVID.
Esto condice con el número total de muertos. Mientras en 2016 murieron en Argentina 65.185 personas por enfermedades del sistema respiratorio, en 2017, 64.869 y en 2018, 61.668, para fines de 2020 habían muerto 53.529 personas por Covid, según el Ministerio de Salud de Argentina (que sumaba fallecimientos “por” y “con” Covid, una diferenciación que implicaba su reconocimiento de que en muchos casos el Covid no era la causa principal de muerte). O 43.243 según bases de datos de investigación científica. Simplemente un agente había reemplazado a otro. La mortandad no sólo no era nada fuera de lo común, sino que incluso era más baja que otros años.
Esta mera sustitución de un cuadro respiratorio por otro, se evidencia también en los boletines epidemiológicos de entonces, donde podemos ver cómo, hasta febrero de 2020, antes de declarada la cuarentena, los virus gripales que circulaban entre la población eran variados. Sin embargo, luego de adoptados los protocolos que obligaban a hacer PCR de Covid a todo el mundo, todos los cuadros respiratorios pasaron a ser de Covid.


La explicación oficial del hecho fue que el virus SARS-Cov2 había desplazado totalmente al de la gripe y los demás virus respiratorios. Supongamos que fue así. Ello implicaría, de todas formas, reconocer que la cantidad total de muertos por enfermedades respiratorias era menor que el de otros años, sólo había cambiado el agente. En vez de morir de pulmonía como otros años, los ancianos morían de Covid, pero el número total no era muy diferente. Los hospitales no estaban “desbordados” de enfermos, como se dijo. Sólo los médicos estaban desbordados por la rutina de hacerles tests a todo el mundo, por la baja de personal y el clima de terror.
Sin embargo, sabiendo ahora la enorme cantidad de falsos positivos que arrojaba el test, la conclusión es ineludible: Toda persona que daba positivo con los fraudulentos tests PCR a 40 ciclos, fue anotado como enfermo o muerto por Covid, aunque no lo estuviese.
La neumonía, viral y bacteriana, también “desapareció” mágicamente en 2020. Sin duda el Sars-Cov2 no pudo desplazar a las bacterias, así que debe haber otra explicación. Probablemente sea que la neumonía agravada por el stress estaba siendo tomada como Covid. Si sumamos los muertos oficialmente por neumonía en 2020 (27.483) y los muertos por Covid según la cifra más confiable (43.243) obtenemos un total de 70.726, apenas por encima de la media de años anteriores.

Otro dato concordante con esta hipótesis es que el promedio de edad de fallecimiento por Covid era similar a la de los ancianos que fallecen todos los años por complicaciones de enfermedades respiratorias. No estaban falleciendo jóvenes sanos. En nuestro país, la edad media de los fallecidos por Covid sólo se informó públicamente al comienzo de la pandemia, y era entonces de 76 años, la cual es exactamente la esperanza de vida en Argentina. La misma coincidencia ocurría en otros países con diferente esperanza de vida. Sólo hemos encontrado un estudio de referencia con ese dato para momentos posteriores, que estima una edad media de muerte por cuadro de Covid de 72 años, durante toda la extensión de la pandemia, en la provincia de Buenos Aires.
Los mismos datos oficiales muestran que los muertos con comorbilidades eran la mayoría, a pesar de los esfuerzos por mostrarlo de otro modo.

Todo esto nos lleva a la conclusión ineludible de que ninguna de las cifras oficiales de fallecidos por Covid son confiables, y que no había, al menos hasta comienzos de 2021, ninguna catástrofe demostrable que justificase medidas “de emergencia” extremas.
Covid la “estafa del siglo”: alerta internacional de profesionales de la salud
Pero en base a esos números artificialmente inflados, se arruinaron negocios; se aislaron ancianos; se suspendieron chequeos de salud de rutina de enfermos graves de otras patologías; se impusieron encierros y finalmente; se inyectó a todo el mundo con una tecnología con posibles efectos secundarios gravísimos (al menos desde lo teórico), que no fue testeada el tiempo suficiente para poder verificar ninguno de ellos.
Así era la situación hasta fines de 2020. Había aparentemente un virus circulando, que causaba algunas complicaciones que podían ser severas, pero la catástrofe no era tan grande como se decía. Sin embargo, por el terror psicológico impuesto a la población, con los encierros domiciliarios y el recuento diario de contagios, todo el mundo estaba esperando una misteriosa nueva vacuna de novísima nanotecnología. En la segunda parte de esta nota veremos evidencia muy fuerte de que la mayoría de las muertes atribuidas al Covid durante la “segunda ola” de
[i] COVID vaccination and post-infection cancer signals: Evaluating patterns and potential biological mechanisms; Charlotte Kuperwasser y Wafik S. El-Deiry (2026)
[ii] 1-year risks of cancers associated with COVID-19 vaccination: a large population-based cohort study in South Korea; Hong Jin Kim, Min-Ho Kim, Myeong Geun Choi y Eun Mi Chun (2025)
[iii] The infection fatality rate of COVID-19 inferred from seroprevalence data; John P.A. Ioannidis (2020)
[iv] External peer review of the RTPCR test to detect SARS-CoV-2 reveals 10 major scientific flaws at the molecular and methodological level: consequences for false positive results; Pieter Borger, Rajesh Kumar Malhotra, Michael Yeadon, Clare Craig, Kevin McKernan, Klaus Steger, Paul McSheehy, Lidiya Angelova, Fabio Franchi, Thomas Binder, Henrik Ullrich, Makoto Ohashi, Stefano Scoglio, Marjolein Doesburg-van Kleffens, Dorothea Gilbert, Rainer Johannes Klement, Ruth Schrüfer, Berber Pieksma, Jan Bonte, Bruno Dalle Carbonare, Kevin Corbett y Ulrike Kämmer (2020)
"Como lo pudiste constatar, nuestras investigaciones, son fundadas, independientes, con datos públicos y verificables y siempre sobre el poder real. Su producción lleva días, semanas, hasta meses de trabajo. Y son abordadas con la mayor honestidad, profesionalidad y rigurosidad periodística. Si está a tu alcance, podes colaborar con este periodismo libre, de calidad, sin injerencia de empresas o gobiernos"









