La semana pasada, el juez federal N° 3, Miguel Hugo Vaca Narvaja, procesó al exjefe de Gabinete y exlegislador del peronismo cordobés, Oscar Félix González, por la presunta omisión maliciosa en su declaración jurada de bienes. La causa se originó a partir de una investigación de Stripteasedelpoder.com, realizada por Lea Ross en 2022 tras el siniestro vial protagonizado por el ex caudillo de Traslasierra en las Altas Cumbres, donde se detectaron gravísimas irregularidades en su patrimonio declarado como legislador.
Ahora, una nueva investigación de este portal, da cuenta que respecto a su patrimonio, en una situación muy similar a la de González, estaría el actual director del Banco de la Provincia de Córdoba, operador judicial en las sombras del cordobesismo, el puntano Juan Manuel Cid. Para algunos “el Caputito” cordobés. Un eterno funcionario público del PJ de estrecha confianza del gobernador Martín Llaryora.

Cid integra la llamada mesa chica del poder de Llaryora. En esta se sientan, además, el abogado sanfrancisqueño Pablo Bario, cuya esposa, Lorena Nicola, es directora de la Lotería de la Provincia; y el ministro de Economía y Gestión Pública de Córdoba, Guillermo Acosta, exintegrante de la Bolsa de Comercio y exfuncionario de Mauricio Macri.
En esa mesa, Juan Manuel Cid, nacido en San Luis y distinguido por la Bolsa de Comercio como “Joven Sobresaliente de la Provincia de Córdoba” (2014), tiene una función principal. Que no es controlar la solvencia financiera del único banco público de Córdoba, que hace unos días descontó deudas y créditos a los empleados públicos a mansalva sino la de ser el principal operador judicial del gobernador en las sombras. Por eso lo llaman el “Caputito” de Llaryora.
La justicia cordobesa no persigue a funcionarios ni empresarios coimeros y estafa a los demandantes
Para esta faena, Cid se nutre de su gran influencia política, no solo como mano derecha del gobernador desde hace años, sino también por su rol que desempeñó como legislador de la provincia de Córdoba durante los períodos 2003-2023. Especialmente dentro de la Comisión de Asuntos Constitucionales, Justicia y Acuerdos desde la cual, como representante del oficialismo y la mayoría, el funcionario de Llayora tuvo una voz determinante en la designación de los jueces, fiscales y funcionarios que integran actual Poder Judicial de Córdoba.
Estado presente
¿Quién es Juan Manuel Cid? Nacido hace 49 años, en San Luis, en los noventa menemistas vino a Córdoba como tantos jóvenes del país a estudiar Derecho en la Universidad Nacional de Córdoba (UNC). Quiénes lo conocen desde esa época, cuentan que ya practicaba la onicofagia podal -comerse las uñas de los pies- y que aún lo sigue haciendo, pese a ser un reconocido abogado especialista en Derecho Tributario.
En 2002, tras recibirse, bajo el paraguas del peronismo ingresó a la política y la función pública. Ambito que no ha abandonado ni un solo día de su vida hasta el día de hoy, a la par que se hacía millonario. Según su extenso currículum, el actual Director del Banco Córdoba, se desempeñó como:
- Coordinador General del Organismo Jurídico de Orientación (OJO) del Ministerio de Justicia de la Provincia de Córdoba (2002-2003).
- Legislador Provincial durante cuatro períodos (2003-2007; 2010-2011; 2011-2015 y 2019-2023), posición desde la cual participó en la designación de jueces y fiscales.
- Fiscal Tributario de la Provincia de Córdoba (2007 a 2010).
- Parlamentario de la Región Centro (2003-2007 y 2010-2011).
- Vocal y luego Presidente del Tribunal de Cuentas de la Provincia de Córdoba (2015-2019).
En cuanto a trabajos en la actividad privada, desde el año 2012 figura como monotributista en la provincia de San Luis —lugar donde no reside desde hace casi treinta años— en la Categoría H, una de las más altas, brindando «Servicios inmobiliarios realizados por cuenta propia, con bienes urbanos propios o arrendados«. Su domicilio fiscal es en la avenida Presidente Perón 761, piso 13, en el complejo Torres Duomo.
Cid está casado con Virginia Celeste Castresana. Otra puntana de 45 años, con quien tiene dos hijos. Según los registros de ARCA (ex AFIP), desde 2013 hasta 2019 la esposa del “Caputito” de Llaryora trabajó en la “venta al por menor de prendas y accesorios de vestir” en un modesto local de ropa propio en San Luis llamado “Induminti”. Negocio que cerró en 2019, debido a la crisis.

En «la Docta«, Castresana se recibió de abogada y, según la última declaración jurada de su esposo de 2024, trabaja con un sueldo de $ 715 mil como empleada del Tribunal de Cuentas de la Provincia de Córdoba. Repartición donde nunca nadie la vio jamás. ¿Ñoqui?
Actualmente en los registros de ARCA desde octubre del 2024, al igual que Cid, figura como monotributista en la provincia de San Luis —donde no reside— en la categoría G, bajo el rubro de “servicios inmobiliarios”. Su domicilio fiscal es en la calle Junín 535 de esa ciudad. Por dicha actividad, la ex-vendedora de ropa percibe alquileres por un total de $ 990 mil mensuales.

Patrimonio millonario
Lo llamativo da la familia de Cid -eterno funcionario público- y su esposa Virginia Castresana -hasta hace poco vendedora de ropa minorista y supuesta empelada de la Provincia- es que según su última declaración jurada de bienes presentada el 2 de febrero de 2024, al igual que ocurrió con el ex legislador González, ostentarían un millonario patrimonio subdeclarado que rondaría USD 1,8 millones, unos $ 2.500 millones al tipo de cambio hoy.
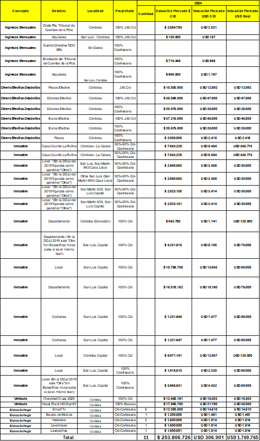
Este patrimonio, como se puede ver en aquí, se compone de:
- USD 156.510 en efectivo (pesos, dólares y euros); $ 219 millones al tipo de cambio actual.
- 1 casa en el country La Rufina, La Calera: de 437 metros cubiertos, sobre un lote de 1.191 metros cuadrados con pileta.
- 5 locales en la ciudad de San Luis, provincia de San Luis.
- 2 departamentos en la ciudad de San Luis, provincia de San Luis.
- 2 cocheras en la ciudad de San Luis, provincia de San Luis.
- 1 departamento en la ciudad de Córdoba.
- 1 local en la ciudad de Córdoba.
- 3 automóviles: un Chevrolet Cruze modelo 2020, una Haval Rural HD Dignity 2022, y una Toyota SW4 4×4 Diamond de 7 asientos. Este último vehículo fue adquirido por la esposa de Cid, en octubre del 2024, y no figura en la declaración de bienes.
Ocultando consciente o inconscientemente este millonario patrimonio, Cid, abogado especialista en Derecho Tributario, burlándose de la Ley N.º 9.471 que regula las declaraciones juradas de funcionarios, declaró valores irrisorios en casi todos esos bienes. Valores que no se ajustan a los de mercado, y algunos ni a los valores fiscales, a pesar de que la ley y el formulario de declaraciones juradas así expresamente lo establecen.
En total, por todas estas 12 propiedades, 2 autos y USD 156 mil en efectivo, el funcionario y mano derecha del gobernador Llaryora, declaró bajo juramento, tener un patrimonio de sólo $ 253 millones. Es decir USD 306 mil (al tipo de cambio de $ 827 de febrero de 2024). Importe que no representa ni la mitad de la lujosa casa que Cid y su esposa Castresana tienen en el lujoso country La Rufina, cuyo valor del mercado rondaría USD 700 mil.
Como se puede observar en su declaración jurada expuesta seguidamente, este ocultamiento patrimonial fue porque Cid subvaluó los 12 inmuebles que el matrimonio, dedicado a los negocios inmobiliarios, posee en las provincias de San Luis y Córdoba. Bienes sobre los cuales, además, omitieron informar todo tipo de datos de edificación, ubicación o referencia, como para dificultar cualquier tipo de control. Los pocos que hay fueron obtenidos por Stripteasedelpoder.com

En detalles, sin dejar de lado un decimal, estas risibles valuaciones, o mejor dicho subvaluaciones son:
- CASA EN EL COUNTRY LA RUFINA, LA CALERA: De 437 metros cubiertos y con pileta. Valuada en… ¡$ 15.686.457! o sólo USD 18.968 de aquel entonces. Cuando el valor de mercado de esta propiedad es de unos USD 691.550. ¡Una subvaluación del 98%! Y según el cedulón de Catastro de la Provincia su valor fiscal trepa a $ 440.080.000; unos USD 314.000. Cabe aclarar que en la Declaración Jurada 2024 sólo está inscripta una propiedad en La Calera.

- 5 locales en pleno centro de San Luis: Valuados en: $ 1.918.510 o USD 2.320; $ 3.665.630 o USD 4.432; $ 5.646.201 o USD 6.827; $ 5.720.126 o USD 6.917; y $ 10.786.708 o USD 13.043. Son tan ridículas estas cotizaciones que, en total, el matrimonio valuó estos cinco inmuebles en USD 33.539; la mitad de lo que vale un solo local. Según el valor global de mercado; esos inmuebles estarían tasados en unos USD 300.000. Estamos ante una subvaluación estimada respecto a los valores del mercado del 89 %.
- 2 departamentos en San Luis: valuados en $ 4.221.815 y $ 15.018.152; que llevados a divisas serían USD 105 y USD 18.160 respectivamente; cuando el valor promedio de un inmueble de este tipo en esa ciudad rondaría los USD 75.000. De esta manera, estos dos inmuebles Cid y su esposa Castresana lo valúan en USD$ 23.265 dólares; mientras que el valor del mercado sería de USD 150 mil. Una subvaluación del 84%.
- 2 cocheras en San Luis: sin datos sobre su capacidad, ni ubicación, valuadas en $ 1.221.646 cada una; unos USD 1.477; el mismo costo de lo que se paga por mes de estacionamiento un automóvil. Los dos estacionamientos fueron declarados a USD 2.954; en tanto que el valor de mercado de cocheras en esa ciudad alcanza los USD 80.000 cada una dependiendo su capacidad: USD 160.000 por las dos; una subvaluación del… ¡98%!
- 1 departamento en Córdoba: Sin ningún dato identificatorio, valuado… ¡$ 943.780!, es decir USD 141; lo que se paga por el alquiler mensual de una propiedad de este tipo. El valor de mercado rondaría los USD 120.000; lo que implica una posible subvaluación del ¡99 %!
- 1 LOCAL EN CÓRDOBA: sin ningún tipo de dato, valuado en… ¡$ 9.971.191!, unos USD 12.057. Nuevamente se repite el esquema de subvaluar un inmueble que en el mercado ronda los USD 150.000, dependiendo de su ubicación. Una subvaluación estimada del 92 %.

De esta manera, según Juan Manuel Cid y su esposa Virgina Castresana, estos 12 inmuebles ubicados en Córdoba y San Luis, incluida la casa de 400 metros cubiertos con pileta en el country La Rufina, tienen un valor total de mercado de ¡$ 76 millones o USD 91.925 de ese entonces! Una cotización ridícula, y totalmente ajena a la realidad. Dado que es lo que vale apenas uno solo de los departamentos o locales que tiene este «exitoso» matrimonio político inmobiliario.
En realidad, el valor de mercado de estos 12 inmuebles, rondaría estimativamente USD 1.481.550, porque no hay datos de las propiedades; un 1.611% más de lo informado por el director del Banco de Córdoba, quien paradojalmente, es experto en Derecho Tributario.

De confirmarse lo anteriormente expuesto, como en el caso de Oscar González, Juan Manuel Cid estaría violando la Ley Nº 9471 que regula las Declaraciones Juradas de los funcionarios públicos en la Provincia de Córdoba. La que textualmente establece que “los bienes registrables deberán especificarse el valor fiscal y de mercado, según estimación efectuada por el declarante”. Lo cual además está claramente estipulado en el formulario de las declaraciones juradas que debe presentar el funcionario. Cosa que Cid evidencia haber incumplido abiertamente.
¿Enriquecimiento lícito?
Como se vio, incorporar como ciertos valores del mercado que no se corresponden con la realidad, es una notable irregularidad en las Declaraciones Jurada de Cid y su esposa. Pero si se compara la última DDJJ con las de años anteriores, 2015 (Tribunal de Cuentas de la Provincia) y 2019 (Legislatura), el matrimonio Cid-Castresana tiene cada vez menos ingresos mensuales, menos deudas, pero más y valiosos bienes que valen cada vez menos. Algo financieramente imposible.
En detalle, como se puede ver en el recuadro de abajo, en el 2015 -cuando Cid asumió como vocal del Tribunal de Cuentas y su mujer vendía ropa al por menor como monotributista en San Luis-, ambos declararon tener un patrimonio de USD 587.000: se componía de: 6,5 propiedades valuadas en USD 418.004; efectivo y depósitos por USD 80.846; inversiones por USD 66.161; y 13 bienes de hogar por USD 6.562. Contando ese capital acumulado con ingresos mensuales de USD 25.233, y una módica deuda de USD 10.846.

En 2019, cuando Cid asumió como legislador –y su esposa cerró su local de ropa “Induminti” en San Luis-, pese a poseer más y valiosos bienes, como su casa en el country La Rufina; el matrimonio declaró tener un patrimonio de ¡USD 260.183 dólares!, un 44% menos que en 2015; en el que llegaba a USD 587.000.
Ese año, Cid y Castresana declararon 7,5 propiedades, incluyendo la incorporación de su lujosa casa en el country La Rufina de 400 metros cubiertos, valuada en apenas USD 96.000. La declaración del matrimonio fue por un total de USD 149.000; un 64% menos que en 2015, cuando habían cotizado las 6,5 propiedades en USD 418.004.
Además, reportaron la compra de dos autos marca Chevrolet, modelos Cruze y Onix, por un valor total de USD 9.291 –cada uno a USD 4.600-; cinco nuevos bienes de hogar, principalmente televisores, por un total de USD 3.595 (50% menos que en 2015); dinero y depósitos por USD 93.016 (15% más); inversiones por USD 14.286 (78% menos); y activos en sociedades por USD 7.937 (51% menos). Todo esto con ingresos mensuales, según Cid y Castresana por USD 12.272 (51% menos que en 2015) y deudas por USD 12.698 (17% más).

Finalmente, en 2024, Cid y Castresana, con más propiedades, nuevos autos, más ahorros, y menos deuda, declararon tener un patrimonio de apenas USD 306.000; sólo un 17% más que en la declaración jurada del 2019.
Como vimos, compuesto por 12 inmuebles en Córdoba y San Luis, enormemente subvaluados por un total de USD 91 mil; un 39 % menos que en el 2019 (USD 149.000) y un … ¡79% menos que en el 2015! (USD 418.000); pese a que habían duplicado la cantidad de propiedades, pasando de seis a 12; entre ellos la lujosa casa en el country La Rufina.
Además, el operador judicial de Llaryora y su esposa declararon ahorros por USD 156 mil dólares; un 67% más que en el 2019 (USD 93 mil dólares) y casi un 136 % más respecto a 2015 (USD 66.161).
Sin contar que renovaron sus vehículos: Cid reemplazó su Chevrolet Cruze 2015 por un modelo 2020, el cual cotizó en USD 15.302. También, aparecería en los registros municipales, un viejo automóvil Fiat 1100 de 1971 (patente X0188313) que no fue declarado.
La esposa de Cid, Virginia Castresana, en tanto, cambió su Chevrolet Onix por una Haval Rural HD Dignity 2022, un vehículo chino de gama media cuyo valor de mercado oscila en los USD 38.000; pero que Cid declaró en la mitad: USD 20 mil. No conforme con ello, el 10 de octubre de 2024, pocos meses después de publicada la declaración jurada, tras un accidente en el que la Haval Rural fue declarada ante el seguro con daños por destrucción total; Virginia Castresana la remplazó por una lujosa Toyota SW4 4×4 Diamond de 7 asientos (patente AG 980 XZ), cuyo valor ronda los USD 70.000.

Lo más increíble, es que todas estas adquisiciones, Cid y su esposa la lograron reduciendo a la vez a cero sus deudas, y con ingresos totales de apenas… ¡USD 4.740 dólares! Un 61% menos respecto a 2019 (USD 12.272) y $ 6,6 millones actuales. ¿Unos verdaderos magos de las finanzas o enriquecimiento ilícito?
¿Declaración truchada?
En las Declaraciones Juradas de Juan Manuel Cid y su esposa se observa una tercera irregularidad: la total falta de transparencia y trazabilidad de sus bienes, algo inadmisible para un abogado experto en Derecho Tributario, quien además, hace un cuarto de siglo ocupa cargos públicos en el Estado.
Si se observa las sucesivas DDJJ, se comprueba que los inmuebles, los bienes más valiosos del matrimonio, casi no tienen referencias ni datos catastrales de ningún tipo: ubicación, metros cubiertos edificados; nada de nada. Sólo aparecen, en el año 2019, las direcciones de dos locales en la ciudad de San Luis y la casa en “La Calera” en el country La Rufina, pero sin brindar detalles catastrales básicos.
Y eso es lo que generalmente se hace para tratar de disimular una fortuna amasada a lo largo de los años. ¿Qué ocurriría sin cualquier ciudadano, un fiscal curioso -¿existen en Córdoba?- o un miembro de la oposición real -¿existen en Córdoba?- observa que sempiterno funcionario público, de la noche a la mañana, sin endeudarse en un centavo, aparece con una casa de 400 metros cubiertos, con pileta, en un terreno de 1.100 metros cuadrados, en uno de los barrios cerrados más caros del Gran Córdoba?

Por otro lado, los inmuebles que van declarando año a año los empresarios inmobiliarios Cid y Castresana, no tienen la misma clasificación. En las declaraciones del 2015 y 2019, muchos de ellos aparecen con el nombre genérico “otros”. Sin especificar si se trata de una vivienda, local comercial, campo o lote. Pero en la DDJJ 2024, aparecen discriminados como “casa”, “departamentos”, “cocheras” o “lotes”.
Esta arquitectura permite disimular datos, referencias que identifiquen cada inmueble, haciendo difícil especificar qué tipo de propiedad alude a ese “otros” perdiendo su trazabilidad, en cuanto a la compra y venta de ellos, y su impacto patrimonial.

De tal manera es posible observar que en la década que va desde 2015 a 2024, el matrimonio Cid-Castresana comete otra transgresión a la ley que regula la presentación de las DDJJ. Declaran bienes, propiedades, acciones en sociedades, automóviles, que en las DDJJ siguientes desaparecen y no se informa su destino, como tampoco se informa el ingreso de dinero por la venta de esos bienes.
Por ejemplo, en 2015 y en 2019, el operador judicial de Llaryora dice ser propietario del 50% de una vivienda en la ciudad de Córdoba; pero esa propiedad desaparece en la DDJJ de 2024, sin ninguna información al respecto. Cid, el especialista en Derecho Tributario no especifica destino de esa propiedad, venta, cesión ni ingreso de dinero por la misma. Técnicamente desapareció.
Luis Juez el senador antiKorrupción y su casita del millón de dólares
Lo mismo hace el funcionario en su declaración jurada del 2015, en la que asegura poseer inversiones financieras por USD 11.931 en el Fideicomiso Toulouse, que terminó en un escandaloso juicio por estafa. Además, Cid declaró poseer otras acciones por USD 5.423, sin especificar dónde; y que en la DDJJ de 2019 desaparecen como por arte de magia.

Y lo propio hace su esposa, quien en la DDJJ del año 2015 dice ser propietaria del 100% de una casa en pleno centro de la ciudad de San Luis, en las calles Junín y Colón; valuada por la agente inmobiliaria en USD 97.614. Dicho inmueble vuelve a aparecer en la declaración jurada del 2019, pero con un valor ridículo de USD 4.762. Y en la DDJJ 2024 esa propiedad no aparece más. El exitoso matrimonio, una vez más, no explicita qué destino tuvo.

Y lo mismo hace con las acciones, que Castresana dice tener en su empresa NDC SRL: en 2015, mientras era vendedora monotributista de ropa, la esposa de Cid declara poseer el 50% del capital accionario de esta empresa, por un valor de $ 150.000 o USD 16.269 de entonces.
Y por dicho capital, en 2015, Virginia Castresana cobró un ingreso mensual de USD 922, y honorarios como socia por USD 5.423; en total… ¡6.345 dólares! Unos $ 8,8 millones actuales, nada mal para una vendedora de ropa.
Cuatro años después, en 2019, cuando se acentuó la subvaluación los bienes y el matrimonio adquirió el chalet en el country La Rufina –entre otros- Castresana informó que seguía poseyendo el 50% de NDC SRL, pero el valor de las acciones se redujo a USD 7.937; menos de la mitad de los USD 16.269 declarados en 2015.
Y sus ingresos también se redujeron a USD 476, mientras que los honorarios se ubicaron en USD 794 dólares. En total, Castresana vio pulverizarse USD 1.270; alrededor de $ 1,7 millones actuales.

Finalmente, en 2024, el año de la gran expansión patrimonial de Cid y Castresana, las acciones en NDC SRL desaparecieron, sin que el matrimonio informe que ocurrió; por lo que los ingresos mensuales de Virginia Castresana producto de esa inversión también dejaron de percibirse.
Sin embargo, el matrimonio adquirió cinco propiedades más; incrementó sus ahorros en dólares, pesos y euros; cambió de vehículo, adquiriendo un 4×4; y se desendeudó. ¡Unos genios de las finanzas! a la par que la gran mayoría del resto de los argentinos comenzaron tener serios problemas para llegar a fin de mes.
Estas graves omisiones que hacen perder la trazabilidad de la evolución patrimonial, que es la finalidad que tienen las Declaraciones Juradas, violan flagrantemente la Ley Nº 9471 que las regula en Córdoba. Y en su artículo 4 establece textualmente que al “31 de Diciembre de cada año los funcionarios y empleados obligados deberán comunicar las modificaciones sustanciales operadas en la declaración jurada anterior”. Cosa que Cid y su esposa nunca hicieron.

Datos irreales
Por último, las declaraciones juradas de Juan Manuel Cid, presentan datos sobre su esposa Castresana, que no se pudieron constatar. Ya sea como vendedora minorista de ropa o como abogada. Por lo que se podrían haber sido falseados a los fines de justificar ingresos del cónyuge; y de esa manera justificar la adquisición de bienes por parte de ella, que de otra manera no se los habría podido justificar.
En las DDJJ de 2015 y de 2019, Castresana declaró ser dueña de la empresa NDC SRL y cobrar mensualmente alrededor de USD 7.000. Sin embargo, este portal buscó en todos los boletines oficiales, pidió informes financieros y a ARCA y la conclusión a la que arribó es que o esta empresa no existiría o no fue inscripta. No hay un solo dato de ella.
Además, según registros financieros, Castresana no figura como dueña de ninguna empresa SRL ni de ninguna otra figura jurídica. Sólo como vendedora de ropa al por menor, como monotributista desde el 2013 a 2019. Y luego, a partir del 1 octubre del 2024, como monotributista, en San Luis, para servicios inmobiliarios, igual que su marido Cid, con categoría G. No hay ni un solo registro sobre NDC SRL.

En su DDJJ de 2024, Cid declara que su esposa, con un sueldo de $ 715.000 de entonces (USD 865 al cambio oficial), trabajaba como “Empleada Tribunal de Cuentas de la Provincia de Córdoba”. Repartición del cual Cid fue vocal y presidente durante 2015-2019.
Sin embargo, consultado por este portal, ni su actual presidente Beltrán Corvalan ni otros empleados, ni en la base de datos de empleados del Gobierno, nadie la vio nunca allí. Ni se pudo ubicar algún documento o nombramiento que lo acredite. Sólo figura como empleada de la Legislatura de Córdoba con el cargo de “asistente funcional” (asesora) en los años 2006-2007 cuando Cid era legislador.
Quién si es empleado de la Provincia de Córdoba, como contratado, desde el día 10 de diciembre del 2023, con un sueldo de $ 2,5 millones, es su hermano, Francisco Eduardo Castresana. “Pancho”, como se lo conoce, de 27 años de edad, de profesión “estudiante de la UCA”, trabaja en la Secretaria Privada de Audiencias y Ceremonia del Ministerio de Comunicación a cargo de Gabriela Flores. La hija de Olga Riturot, cuñada del súper ministro Miguel Siciliano. Otra funcionaria, que como lo develó este portal, tiene un patrimonio millonario subvaluado.
De corroborarse la inexistencia de estos datos proporcionados bajo juramento por parte del operador judicial del gobernador Llayora, se estaría ante la violación del Artículo 5 de Ley de DDJJ que establece textualmente: “Cuando se comprueben falsedades, quedará configurada la causal de cesantía para los empleados y de mal desempeño para los funcionarios y magistrados, cuyo juzgamiento definitivo estará a cargo de los órganos constitucionales competentes”.
Extraño robo
A fines de 2020, en plena cuarentena por la pandemia del Covid-19, mientras el matrimonio Cid-Castresana incrementaba exponencialmente su patrimonio, el legislador peronista salió en los medios por un hecho delictivo del que fue víctima: un asalto a plena luz del día, en una avenida muy transitada de la Zona Norte de esta Capital, en el que lo despojaron de miles de dólares y pesos.
El atraco ocurrió el lunes 18 de noviembre de 2020 a las 11.25, cuando todo el mundo estaba encerrado por el Covid, y dos motochorros a bordo de una motocicleta roja, sorprendieron al funcionario entrando a una vinería, donde lo único que se despacha es alcohol, y le habrían robado, según denunció el propio Cid, unos $ 300.000 (USD 3.614 de entonces) y USD 3.500 en efectivo: un botín de USD 7.114 o $ 10 millones actuales.
«En principio pensamos que era un hecho simple, de motochoros. Me robaron el portafolios y forcejeé un poco con el ladrón. Después se vio en las imágenes que era todo un operativo” dijo en la Radio Pulxo propiedad de Hernán Dominguez, un ex carnicero devenido a empresario de medios, señalado de ser “prestanombre” de Llayora.
La caída de Hernán Domínguez de Ideas HD: ¿Zar de la tv o prestanombre del cordobesismo?
«Eran ahorros, los llevaba a otro lugar. Me llevaron todo», agregó Cid, a esa radio amiga, sin que nadie entendiera que hacía el legislador, en pleno encierro de la pandemia, con siete mil dólares arriba entrando a una vinería a la mañana.

Claro que los pasillos de la Legislatura, donde trabajaba Cid, por lo bajo se comentó otra cosa: que la cifra era ampliamente mayor, no los USD 7.000 declarados, sino USD 80.000 y que el dinero sería parte del financiamiento de la campaña política para 2021. También se dijo que esos fondos, tampoco tendrían trazabilidad, debido a que serían producto de un pasamanos, por eso se trataba de dinero en efectivo.
En el ambiente político-sindical, se deslizó que el robo a Cid fue “un vuelto” por el trágico atraco a la cueva de la calle Rondeau y Buenos Aires, ocurrido en febrero de 2018, en el que fueron asesinados el policía Franco Ferrero, y los jefes de la banda, Ricardo Serravalle y Ricardo Rolando “El Ciego” Hidalgo.
Tras el sospechoso atraco a Cid; la legisladora de la Coalición Cívica María Cecilia Irazusta, pidió que el fuero Anticorrupción, controlado totalmente por el cordobesismo, lo investigara: “Genera sospechas entre los mismos investigadores de la Policía de cómo ha sido este robo. Creemos que hay que despejar las dudas de cuál es el origen de los fondos«, alegó la legisladora lilista. Sin embargo, la Justicia cordobesa, con la cual Cid tiene estrechas relaciones y control, una vez más nada hizo.-
"Como lo pudiste constatar, nuestras investigaciones, son fundadas, independientes, con datos públicos y verificables y siempre sobre el poder real. Su producción lleva días, semanas, hasta meses de trabajo. Y son abordadas con la mayor honestidad, profesionalidad y rigurosidad periodística. Si está a tu alcance, podes colaborar con este periodismo libre, de calidad, sin injerencia de empresas o gobiernos"









