
El gráfico muestra que las personas en riesgo de pobreza en Argentina han llegado a un máximo histórico. Según el INDEC el kirchnerismo y el macrismo son socioeconómicamente un rotundo fracaso. Lo mismo dice del sciolismo y el delasotismo
Por Javier Llorens
Contenido
Pobreza absoluta versus pobreza relativa e inseguridad y violencia social – Resumen de la situación de pobreza relativa en Argentina – La tendencia de la pobreza, el test ácido para un gobernante virtuoso – Comparación con la Unión Europea – La “década ganada” y su casi nula “movilidad social ascendente” – La penosa situación sin grandes cambios de la niñez y adolescencia – Autocritica, y su justificación por la malversación de los microdatos del INDEC – Un doble desafío para el INDEC, y en especial para los políticos – ANEXO TECNICO3
Un viejo dicho algo sombrío dice que si uno tortura los números, les puede hacer cantar cualquier cosa. Pero algunas veces, si se los trata respetuosamente, suelen musitar verdades inesperadas para quienes trataron de amañarlos. Como parece ser respecto la cuestión de la pobreza existente en Argentina, que suscitó recientemente un acalorado debate entre el oficialismo, que dice que prácticamente no existe. E informes críticos por parte de organismos académicos y de la oposición, que dicen que alcanzaría a un tercio de la población, y a la mitad de los niños y adolescentes argentinos.
Lo cual lamentablemente parece ser enteramente cierto conforme los datos del mismo INDEC, si uno toma los criterios de la Unión Europea y de la OCDE (Organización para la Cooperación y el Desarrollo Económico) para medir lo que se entiende como “riesgo de pobreza o exclusión social”. Fenómeno que cuando adquiere cierta envergadura, no solo lo padece población hundida en ella, sino que repercute en toda la sociedad. Al ser la desigualdad la madre o incubadora de la violencia e inseguridad de la que se quejan todos los argentinos.
Siendo Argentina según la ONU, el país que tiene el más alto nivel de robos en América. Y no siendo casual que en el 2008 el gobierno nacional haya discontinuado las estadísticas delictivas, a la par que desarrollaba una serie de argucias en el tratamiento de los datos obtenidos en la Encuesta Permanente de Hogares. A los fines de maquillar la pésima distribución del ingreso existente en Argentina, y dibujar el coeficiente de desigualdad de Gini, tal como se expone más adelante en este escrito.
En el que también se pondera el desempeño tanto del kirchnerismo, como del sciolismo, del macrismo, y del delasotismo, para enfrentar la cuestión álgida de la pobreza. Registrándose invariablemente en las áreas a cargo de estas expresiones políticas, niveles de personas en riesgo de pobreza superiores a los del año 2003. Razón por la cual el desempeño de ellas solo puede calificarse de malo en el caso del kirchnerismo, a pésimo en el caso del delasotismo. Quedando el sciolismo y el macrismo en una situación intermedia entre ambos. O sea que ninguno ha sido capaz ni siquiera de esbozar una salida ante el oprobio de la pobreza extendida.
La Presidenta Fernández de Kirchner por su parte, dijo recientemente ante el congreso de la FAO (Organización de las Naciones Unidas para la Alimentación y la Agricultura) que en Argentina la pobreza era menor a un 5 %. La confundió así con la malnutrición, por la que Argentina fue premiada en ese acto, por haberla bajado por debajo de ese registro porcentual. Que para Argentina representa un umbral de dos millones de personas, pese que podría producir alimentos para 700 millones de personas.
Esa afirmación presidencial estaba avalada por informes del INDEC, que por vergüenza este dejó de publicar desde el 2013. En los que afirmaba que la pobreza en el país había bajado a solo un 4,7 % de la población, en base a sostener que un argentino podía comer con solo 6 pesos al día. A esto se opuso recientemente un informe del Observatorio de la Deuda Social Argentina de la UCA, que en las antípodas, sostiene que la pobreza habría ascendido en el 2014 a un 29 % de la población.
Al que por su parte el director del INDEC Norberto Iztcovich descalificó duramente, diciendo que era “falaz y sesgado”. Cuestionando el tamaño de la encuesta de cinco mil hogares, contra los veinte mil que efectúa el INDEC con su Encuesta Permanente de Hogares. Y lo difícil que resulta medir la pobreza por su carácter multidimensional.
Y en lugar de tratar de dar alguna dimensión de ella conforme es su misión, como si ocupara un cargo político se explayó detallando las medidas de inclusión social tomadas por el kirchnerismo durante su gobierno. Por su parte el ministro de Economía Axel Kicillof se lavó las manos diciendo, «cuántos pobres hay es una pregunta bastante complicada. Yo no tengo el número de pobres, me parece que es una medida bastante estigmatizante».
Quién se le animó a la cuestión con su característico desparpajo, fue el Jefe de Gabinete Aníbal Fernández, quien en defensa de lo dicho por la Presidente y confundiendo perros con dinosaurios, salió a decir que en Argentina había menos pobreza que en Alemania. Donde según sus estadísticas oficiales treparía a un 15,6 %.
Pobreza absoluta versus pobreza relativa e inseguridad y violencia social
Sin advertir que lo que medía el INDEC y dejó de medir desde el 2013, es la denominada pobreza absoluta, que contrasta el costo de una determinada canasta de bienes, contra la escala de ingresos de la población, para determinar a qué porción de esta no le alcanza para poder obtenerla. Determinando así la que estaría hundida en la pobreza (en base a la Canasta Básica Total) y la que se hallaría directamente en la indigencia (en base a la Canasta Básica Alimentaria).
En cambio en Alemania y los países de la Unión Europea y los integrantes de la OCDE, usan un concepto enteramente distinto, denominado pobreza relativa, riesgo de pobreza, o riesgo de exclusión. Considerando que caen en esta situación quienes tienen ingresos inferiores a un 60 % de la mediana de la población. La cual en la escala de ingresos de ella, corresponde a la persona ubicada en la mitad de esa progresión. Habiendo sido expuesta esta modalidad de medición de la pobreza en un anterior escrito de este autor de marzo del 2011, titulado “El mito kirchnerista de la inclusión social”.
http://ec.europa.eu/eurostat/statistics-explained/index.php/Income_distribution_statistics/es
O sea que considera a la pobreza no como una cuestión absoluta, respecto la existencia o no de los ingresos mínimos indispensables para poder sobrevivir, sino a la carencia de cierto monto con respeto a la situación general en que vive el país. Y además mide dicha carencia, mediante el gap o brecha existente entre el umbral del 60 % de la mediana de la población, y la media de los ingresos de la población hundida en riesgo de pobreza.
Abarcando así ese tratamiento estadístico, el fenómeno de la desigualdad y exclusión, que va bastante más allá que el de la pobreza. Y según algunos pensadores es la causa profunda de la inseguridad ciudadana. Tal como lo expone la licenciada en Filosofía y Dra. en Ciencias Sociales Roxana Kreimer, en su libro “Desigualdad y Violencia social”.
Tesis que es confirmada por las estadísticas, que muestran la proporcionalidad que existe entre las tasas de desigualdad y criminalidad. Un ejemplo notable de ello lo constituyen la Unión Europea y Estados Unidos. La primera tiene en promedio un índice de pobreza relativa del 16,4 %; un coeficiente de desigualdad de Gini de 0,305 (0 expresa la igualdad absoluta, y 1 expresa la desigualdad absoluta); un índice de homicidios de 1,3 cada cien mil habitantes; y una población carcelaria de 127 personas cada cien mil, con un mínimo de 46 en Islandia.
Por su parte Estados Unidos tiene un índice de pobreza absoluta de 15,9 %, fijada igual que el INDEC a partir de un umbral que nada tiene que ver con la distribución del ingreso; un coeficiente de Gini de 0,465 (52 % superior al de la UE); un índice de homicidios de 5,3 habitantes cada cien mil (cuatro veces superior al de la UE) y una población carcelaria de 775 cada cien mil habitantes (seis veces superior a la de la UE). Lo cual comprueba la tesis de Kreimer que el quid de la cuestión no es tanto la pobreza en sí, sino la desigualdad social. Llegando en el caso de Estados Unidos a ser el índice de Gini por patrimonio de nada menos que 0,865.
Argentina por su parte en cuanto a criminalidad se parece cada vez más a Estados Unidos. Ya que tiene una tasa de homicidios de 5,5, igual a la de Estados Unidos. La tasa de robos más alta de América (973 hechos denunciados cada cien mil habitantes en el 2008, sin contar los que no se denuncian que los superan largamente). A la par que su población carcelaria crece incesantemente, superando en el 2013 las 150 personas cada cien mil habitantes. Con demandas por parte de la sociedad ante la inseguridad que sufre, que sea mucho mayor.
De esta manera pese al empeño de gobierno en negar la pobreza, los índices de criminalidad confirman que ella y la desigualdad existen. Y como se verá, ambas están en franco crecimiento. Resulta incluso ostensible si se comparan las amañadas cifras del INDEC con las de la Unión Europea. Donde la diferencia de ingreso en los quintiles extremos es de 5 veces en promedio, con un mínimo de 3,4 en Noruega e Islandia, mientras que en Argentina es de 9 veces. Y nada menos que 9.333 veces, si se toma el ingreso per cápita mínimo y máximo de la escala. No siendo casual por ende que oficialmente Argentina haya dejado de publicar ambas estadísticas, la de criminalidad y pobreza, desde un tiempo atrás. La primera desde el 2008, y la segunda desde el 2013.
Siendo esta la causa profunda del problema de inseguridad que desvela actualmente a los argentinos, la eliminación de la desigualdad extrema, no solo es una necesidad para quienes la padecen, sino para todos los argentinos que ansían disfrutar de sus vidas y sus bienes en forma segura y pacífica. Por ende sería mucho más inteligente, que en lugar de reclamar por más policías, patrulleros, y cámaras de seguridad, los ciudadanos reclamaran y colaboraran para que exista más solidaridad social, y menos desigualdad y exclusión social.
Resultando por contrario perverso que ante la trascendencia de este problema de enorme interés público, tanto el ministro Kicillof como el director del INDEC Itzcovich, se hayan negado a tratar de dimensionar los alcances de la pobreza y la desigualdad. Al tratarse de un gravísimo problema, cuyos efectos se ven desbordados largamente, ya que está íntimamente relacionada con la convivencia pacífica y la paz social.
Y si bien la pobreza o su riesgo como se verá, aqueja a más de un tercio de la población, la violencia e inseguridad aquejan al 100 % de esta. Siendo esta última cuestión la que encabeza el listado de reclamos ciudadanos, pero no así la pobreza y desigualdad, pese ser la causa primigenia de ella. Al bizantinismo se le reprocha el haberse enfrascado en disquisiciones inútiles sobre el sexo de los ángeles, para eludir enfocarse en las asechanzas que asolaban a Bizancio. Por su parte el kicillofcismo en su inopia, parece haber inaugurado una variante superadora del mismo, al considerar “estigmatizante” que se hable de las acechanzas que asolan a Argentina.
Resumen de la situación de pobreza relativa en Argentina
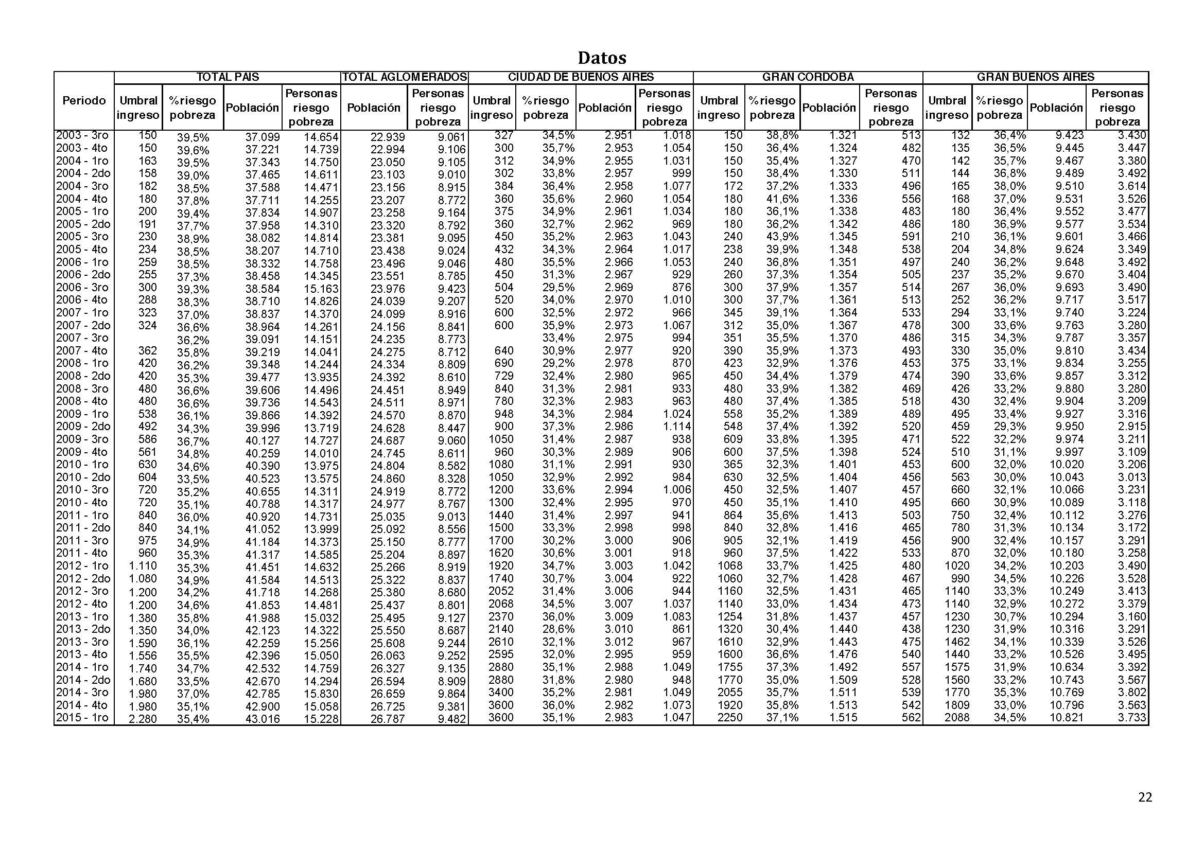
Aplicando el método de la pobreza relativa de la Unión Europea y la OCDE, y los datos suministrados por el INDEC respecto la distribución del ingreso en “Hogares según escala de ingreso per cápita familiar”, en el siguiente cuadro se resumen los resultados de ella correspondiente al 4to Trimestre del 2003. A mitad de término, en el 3er Trimestre del 2009. Y actualmente al 1er Trimestre del 2015.
El mismo revela que en el caso del Total País, extrapolando los resultados correspondientes al Total de Aglomerados Urbanos, el porcentaje de la población en riesgo de pobreza habría descendido de un 39,5 % en el 2003, a un 35,4 % en el 2015. Ubicándose en consecuencia por debajo del 38,2 % vigente en los años 1996 – 1997 durante la convertibilidad, según los datos del INDEC.
Pero por efecto del crecimiento vegetativo de población, esa mínima merma porcentual no se reflejó en una merma de la cantidad de personas hundidas en esa condición. Sino que por contrario, ellas pasaron puntualmente de 14,65 millones de personas en el 2003, a 14,72 millones en el 2009, para llegar en el 2015 a 15,22 millones de personas.
Superando en todo los casos el nivel de los años 1996 – 1997 durante la convertibilidad, en el cual la cuantía de personas en riesgo de exclusión ascendía solo a 13,3 millones de personas. Por su parte si la cuantía se refiere al Total de Aglomerados Urbanos, las personas en riesgo de exclusión se mantuvieron en 9,06 millones de personas, para trepar en el 2015 a 9,48 millones de personas.
En cuanto a la ciudad de Buenos Aires, se evidencia un fenómeno inverso, ya que allí la población se mantuvo prácticamente estable en el periodo, sin crecimiento vegetativo. Y es la cuantía porcentual la que primero decrece entre el 2003 y 2009, desde el 34,5 % al 31,4 %, para luego subir al 35,1 % en el 2015. De esa manera las personas en riegos de exclusión pasaron de 1,01 millón en el 2003, a 0,93 millones en el 2009, para trepar a 1,04 millones en el 2015.
En cuanto a los Partidos del Gran Buenos Aires, se da un evolución porcentual parecida, que sumado al crecimiento de su población, arroja como resultado neto un crecimiento apreciable de las personas en riesgo de pobreza. Su cuantía relativa bajó de 36,4 % al 32,2 % en el 2009, para volver a subir a un 34,5 % en el 2015. Lo cual reportó que las personas en riesgo de pobreza bajaran levemente de 3,43 millones en el 2003, a 3,21 millones en el 2009, para subir a 3,73 millones en el 2015.
En el Gran Córdoba sucede un fenómeno similar, pero aun más pronunciado. Ya que en términos relativos el porcentual bajo del 38,8 % en el 2003, al 33,8 % en el 2009, para trepar al 37,1 % en el 2015. Lo cual reportó que las personas en riesgo de pobreza bajaran levemente de 0,51 millón en el 2003, a 0,47 millón en el 2009, para subir a 0,56 millón en el 2015.
En cuanto la profundidad de ese riesgo de pobreza conforme el criterio de la Unión Europea, el gap o brecha existente respecto del umbral del mismo (60 % de la mediana) es actualmente para el Total País y Total de Aglomerados Urbanos del 37 %. Habiendo mejorado solo cuatro puntos desde el año 2003, cuando llegó al 41 %. Por su parte en los Partidos del Gran Buenos Aires y la CABA el gap es del 36 %, y en el Gran Córdoba trepa al 43 %.
Lo cual quiere decir concretamente en este caso extremo, que el 37,1 % de la población del Gran Córdoba está en riesgo de pobreza, con ingresos un 43 % por debajo del umbral mínimo para salir de él. Lo cual inversamente, representaría que sus ingresos deberían crecer un 75 % para poder salir del mismo.
La tendencia de la pobreza, el test ácido para un gobernante virtuoso
La evolución y tendencia del riesgo de pobreza en los principales aglomerados urbanos de nuestro país, se pueden apreciar en detalle en el ANEXO TECNICO adjunto. Evidenciando ser sus gráficos una película de la penosa y errática evolución de la situación socioeconómica en Argentina, y de la inidoneidad de los distintos gobernantes a cargos de esos aglomerados para resolverla, más allá de lo que expresan en sus inflamados discursos al respecto. Seguidamente se expone una síntesis de sus principales conclusiones, a través del análisis de sus líneas de tendencia anualizadas, prescindiendo de sus saltos estacionales.
La familia de curvas del gráfico adjunto, muestran la línea de tendencia de la evolución de las personas en riesgo de pobreza, en términos de porciento de la población correspondiente al Total País y los principales aglomerados urbanos. El Total país muestra una tendencia decreciente a partir del 2003, desde un nivel cercano al 40 %, para llegar a un mínimo a un nivel por debajo del 35 % en el 2011. Para a partir de allí volver a subir levemente hasta casi el 36 % a principios del 2015. Reflejando esto la inidoneidad del kirchnerismo para abatir el problema en términos sustanciales, e impedir su rebote posterior.
Por su parte la de la CABA parte de un nivel por encima del 35 % en el 2003, para llegar a un mínimo del 32 % en el 2010, subiendo luego a un nivel de más del 35 % en el 2015. Reflejando esto una inidoneidad aun más marcada por parte del macrismo, para enfrentar el problema, al volver prácticamente durante su gestión a los niveles existentes en el 2003.
Por su parte el Gran Buenos Aires a cargo del sciolismo, se ubica en una situación intermedia entre las anteriores. Ya que la tendencia del riesgo de pobreza cayó en forma más marcada, desde un 37 % en el 2003, a un 32 % en el 2011, para luego rebotar a un nivel del 35 % en el 2015. Y en cuanto al Gran Córdoba a cargo de delasotismo, la tendencia revela el comportamiento peor de todos, ya que el riesgo de pobreza primero, en lugar de caer, sube levemente hasta más de un 38 % en el 2004 – 2005, para caer en el 2012 a un nivel por arriba del 33 %. Subiendo luego a un nivel del 37 %, cercano al punto de partida en el 2003.
En cuanto a la evolución del riesgo de pobreza en términos absolutos de cuantía de personas hundidas en ella, el grafico adjunto lo hace en forma comparativa, a partir del nivel promedio existente en el año 2003. Mostrando la familia de curvas existente en él, su evolución en los distintos aglomerados, en términos de disminución o aumento personas hundidas en esa condición.
Se distingue entre ellas por su pésimo comportamiento el Gran Córdoba a cargo del delasotismo, por ser la única que aumenta inmediatamente después del 2003, hasta un nivel de más de un 3 %, para caer luego al 95 % en el 2011. Y rebotar agudamente a continuación a un nivel de 114 % en el 2015. O sea que primero logró reducir la tendencia en el riesgo de pobreza respecto el 2003 en un 5 %, para luego aumentarlo casi 20 puntos a partir de allí.
Un trayecto parecido hacen los Partidos del Gran Buenos Aires a cargo del sciolismo. Dado que bajó el riesgo de pobreza en 6 puntos, a un 94 % en el 2010, para a partir de allí registrar un aumento de 16 puntos en el 2015, o sea un 10 % más que en el 2003. Por su parte en la CABA a cargo del macrismo, también hay un comportamiento parecido pese a los notables recursos con que cuenta esta administración. Ya que la tendencia del riesgo de pobreza cayó a un nivel de casi el 92 % en el 2010, bajando 8 puntos, para a partir de allí aumentar casi 10 puntos, hasta un nivel cercando al 102 %. Un 2 % más que en el 2003, cifra que se explica por el nulo crecimiento de población que tuvo la CABA ínterin, en contraste con los otros aglomerados urbanos.
En cuanto al Total de Aglomerados Urbanos, que caería bajo la responsabilidad global del kirchnerismo, la tendencia del riesgo de pobreza bajó 4 puntos en el 2010, al 96 %, para a partir de allí crecer 9 puntos, llegando así a nivel un 5 % superior al del 2003 (105 %). Un desarrollo bastante parecido se da con el Total País, ya que al 2009 solo había bajado un 3 % (97 %) para aumentar a partir de allí 7 puntos, pasando a un nivel un 4 % superior al del 2003 (104 %).
De tal manera estos gobiernos obtienen una pésima calificación en su desempeño en la lucha contra la pobreza, que los pone muy lejos de ser gobiernos virtuosos. Por un lado el kirchnerismo con su responsabilidad global sobre el país, muestra una verdadera impotencia y un pobrísimo desempeño para hacer bajar sustancialmente la tendencia del riesgo de pobreza. Y de impedir su suba posterior, que supera los niveles del 2003.
Y otro tanto hacen el sciolismo y el macrismo, que en principio logran una rebaja algo mayor en la baja de la tendencia del riesgo de pobreza, pero luego no pueden impedir un rebote tanto peor. Superando largamente los niveles del 2003 en el caso del primero, por efecto del crecimiento de la población, y levemente en el caso del segundo, por efecto del no crecimiento de esa población.
En cuanto al delasotismo es el que evidencia el comportamiento más reprobable, por la tardanza en hacer bajar la tendencia del riesgo de pobreza, por su mínimo éxito obtenido a continuación, y el notable crecimiento de la tendencia posterior. Y lamentablemente para el país, estos tres últimos nombrados son los expectables personajes que se han candidateado para suceder al kirchnerismo.
Comparación con la Unión Europea
Tal como se puede ver en los links antedichos de Eurostat, en la Unión Europea las personas en riesgo de pobreza alcanzan un promedio de 16,4 % de la población, o sea menos de la mitad de la correspondiente a Argentina. Pero además Eurostat, tal como se puede ver en el gráfico adjunto, da cuenta de la diferencia que existe al respecto entre antes y después de las transferencias sociales. Que de no existir elevarían el promedio de riesgo de pobreza al 25,9 %. Información que por su parte el INDEC se guarda muy bien de hacer públicas, ocultando la verdadera incidencia de ellas.
En cuanto al nivel por país, en el 2013 el riesgo de pobreza oscilaba entre un mínimo del 10,4 % correspondiente a Holanda, y un máximo del 24,5 % correspondiente a Serbia. Pasando por un 16,1 % de Alemania, un 22,4 % de Rumania, un 23,1 % de Grecia, y un 24,2 % de Macedonia. Países estos que están soportando gravísimas crisis sociales, o han soportado trágicas guerra o conflictos internos.
El umbral de ingresos anuales per cápita para no caer en riesgo de pobreza, es de Euros 11.294 en Holanda, Eu 10.635 en Alemania, Eu 7.559 en Grecia, y Eu 2.122 en Rumania. Por su parte en Argentina el umbral de ingresos anuales fue en el año 2014 de $ 7.380, equivalentes a Eu 668. O sea una cifra entre 3 y 17 veces menor a la europea. Que en dólares equivale a entre 1,4 y 2,4 dólares por día, según se tome el dólar blue o el oficial. Importes muy inferiores a los entre 4 y 10 dólares por día que toma el Banco Mundial como umbral al respecto.
Por su parte el gap o brecha del promedio de la población en riesgo de pobreza respecto el umbral de este, varía entre un mínimo de 13,8 % en el caso de Finlandia, y un máximo de 32,6 % en el caso de Lituania, pasando por un 20,7 % en el caso de Alemania. Con un promedio del 23,6 para la Unión Europea. Lo cual el caso de Argentina con un gap del 37 %, representa un aumento del 80 % respecto Alemania, y del 61 % respecto la Unión Europea.
La “década ganada” y su casi nula “movilidad social ascendente”
El siguiente grafico muestra comparativamente la distribución de la población según el ingreso per cápita familiar de los hogares, correspondiente a los años 2003 y 2014 (4to Trimestre). Las líneas de trazo continuo y discontinuo reflejadas en su lado izquierdo, lo hacen en términos relativos porcentuales. Y las columnas reflejadas en el lado derecho, en términos absolutos referidos a millones de personas.
Como primera impresión, el grafico refleja la absolutamente “anormal” distribución de la población en función de sus ingresos per cápita familiar por hogares. Ya que se encuentra muy alejada de la distribución normal de la famosa campana de Gauss, que era de esperar según el marco teórico de la cuestión, conforme se observa en las siguientes imágenes provenientes del Instituto de Estadísticas de Cataluña. Lo cual de por si revela la inusitada gravedad del fenómeno de pobreza y exclusión social que enfrenta Argentina.
Absurdamente tal como se aprecia en él, escalonadamente la mayor parte de la población argentina se va distribuyendo en forma descendente a partir del primer decil más humilde de la población, que actualmente alcanza a 6,75 millones de personas. Lo sigue el segundo decil, con 6,07 millones de personas, y luego el tercer decil con 5,51 millones.
Encontrándose en consecuencia en diciembre del 2014 el 42,8 % de la población argentina, o sea 18,35 millones de personas, hundida en estos últimos deciles de la escala de ingreso de hogares per capita familiar. En consecuencia los integrantes de los deciles 1 y 2, y el 58 % del decil 3 en el 2003, y el 40 % en el 2014, se hallaban o hallan hundídos en riesgo de pobreza. Tal como se puede visualizar en el gráfico con las áreas con bordes rojos ubicadas en esos deciles, que ponen de manifiesto la preponderancia de ella.
En el gráfico se observa que existió una caída de un 2,6 % menos de personas en el decil mas bajo, la que no obstante por efecto del crecimiento vegetativo de la población, solo se redujo en 76 mil personas. Caída que es compensada con creces en los deciles segundo y tercero. Arrojando en definitiva estos tres deciles, que agrupan a la que se denomina clase baja, una caída porcentual neta de solo el 2,1 % del total de la población respecto la registrada en el 2003. Pero un aumento neto de 1,7 millones de personas hundidas en ellos, por efecto del crecimiento de la población.
Seguidamente se observa que el cuarto decil se mantiene casi con la misma incidencia porcentual. La que baja en el quinto decil, típico de la clase media, a un nivel menor que en el 2003, pero volviendo en el sexto decil al nivel de este año. Registrándose recién en el séptimo decil, correspondiente a la clase media alta, una suba más notable. Reportando en consecuencia estos cuatro deciles correspondientes a la famosa clase media argentina, un crecimiento del 0,5 % del total de la población respecto lo registrado en el 2003. Que por efecto del crecimiento de la población representa 2,36 millones más de personas. Totalizando actualmente 16,16 millones, o sea un 37,7 % de la población.
Por su parte en los tres últimos deciles correspondientes a la clase alta, se registra un manifiesto crecimiento, porcentual y absoluto en todos ellos, que reportan finalmente un traspaso hacia ella del 1,6 % del total de la población respecto la registrada en el 2003. O sea 1,77 millones de personas más, totalizando actualmente 8,38 millones de personas, o sea el 19,5 % de la población.
De esa manera en términos relativos, se da el curioso resultado de que el magro 2,1 % de personas que salieron de la clase baja, fue nivelado con un aumento del 0,5 % en la clase media, y del 1,6 % en la clase alta. Habiendo no obstante las tres clases aumentado su número absoluto, al haber ido a parar el incremento de 5,8 millones de personas registrados ínterin, un 29 % a la clase baja, un 41 % a la clase media, y un 30 % a la clase alta.
El crecimiento de esta última, o mejor dicho primera clase, parece estar sustentado principalmente en la denominada clase política. Que de un tiempo a esta parte se ha fijado remuneraciones de elite, por las que directamente han pasado a ser conspicuos integrantes de la clase alta, y no precisamente en su nivel más bajo. Razón por la cual podría decirse que la “clase política” ha sido casi la única beneficiada de la proclamada “movilidad social ascendente”. No obstante que al mismo tiempo se manifestó enteramente incapaz e impotente, para impedir con su gestión que el crecimiento vegetativo de la población, siguiera incrementando en términos absolutos la población hundida en riesgo de pobreza.
Tradicionalmente la “clase política” solía tener ingresos del orden de cinco o seis veces el promedio de la población. Pero a partir de la década del `90, en la que el ex ministro Domingo dijo que no podía vivir con menos de 10 mil dólares al mes, esa proporción se duplico, pasando a ser de diez a doce veces. Sin embargo por vergüenza y para no malquistarse con la sociedad, esas altísimas remuneraciones se pagaban buena parte negro, por medio de malversación de fondos y procederes clandestinos.
Lo cual originó una causa penal en la que actualmente están imputados personalidades que incluso acaban de ser elegidas por el voto popular, como es el caso del electo gobernador de Córdoba Juan Schiaretti. Pero después del “que se vayan todos” del 2001, del que no se fue casi ninguno; y sobre todo después del 54 % del 2001 y el “vamos por todo” del kirchnerismo, la vergüenza se perdió totalmente.
Así las altísimas remuneraciones políticas a las que aspiraba Cavallo se generalizaron y transparentaron en enormes cifras en blanco. Para retribuir espléndidamente a una poliburocracia que vive lujosamente en Puerto Madero, y declama a la par haber hecho “una opción preferencial por los pobres”. Pero no para extraerlos de la pobreza, sino para extraerles sus votos. Llevando adelante un rumboso tren de vida, que nada tiene que ver con el de la esforzada clase media argentina, y que resulta una bofetada para los sectores más carenciados de la sociedad.
La penosa situación sin grandes cambios de la niñez y adolescencia
Si la situación en general parece mala, mucho peor es en la que están la mayor parte de los niños y adolescentes argentinos. Ya que agravando enormemente la cuestión, los microdatos del INDEC revelan que en el año 2003 el 59 % de los argentinos menores de 18 años de edad estaban en riesgo de pobreza. Lo cual representaba nada menos que 7,16 millones de niños y adolescentes, sobre un total de 12,14 millones. Registrándose actualmente en el 4to trimestre del 2014, que en la misma situación se encuentran el 53,1 % de ellos. O sea un total de 6,62 millones de niños y adolescentes, sobre un total de 12,47 millones.
Esta disminución absoluta de niños en riesgo de pobreza de 0,54 millones, proviene por un lado, de la caída relativa del riesgo de pobreza del 39,6 % al 35,1 % de la población. Y por otro lado, del cambio en la composición de la población argentina que se registro ínterin, que en el 2003 estaba compuesta con un 32,7 % de niños y adolescentes menores de 18 años, participación que en el 2014 se redujo a un 29,1 %. De esa manera la edad promedio ponderada de los habitantes de Argentina se envejeció levemente, pasando de 31,5 años en el 2003, a 33,2 años en el 2014.
El grafico adjunto similar al anterior, compara la distribución de los menores de 18 años de edad, en los hogares según el ingreso per capita familiar, entre el 4to Trimestre del 2003 y el 4to del 2014. Igual que el anterior, las columnas en su lado derecho, reflejan los millones de niños y adolescentes que integran cada decil. Y las líneas de trazo continuo y discontinuo reflejadas en su lado izquierdo, visualizan la distribución porcentual de dicha franja etaria correspondiente a cada decil.
El mismo, en forma sustancialmente agravada respecto el correspondiente al total de la población visto previamente, muestra la penosa imagen de cómo está distribuida la franja etaria correspondiente a la niñez y adolescencia argentina. Con la mayor cantidad de esta, en una notable gradiente de mayor a menor, ubicada en los deciles más bajos de los hogares argentinos. Con 3,22 millones en el primer decil, 2,45 millones en el segundo, y 1,87 millones en el tercero.
Resaltando las columnas de los deciles con borde rojo, la mayoritaria proporción de niños y adolescentes de la población argentina, que se hallan en riesgo de pobreza. Abarcando enteramente al primer y segundo decil de los hogares, y alcanzando en al 96 % de los niños del tercer decil el 2003, y al 51 % de ellos en el 2014.
Se observa comparativamente en él conforme la línea continua y de trazos, que la reducción de la incidencia de los menores de 18 años de edad sobre el total de la población, se dio de manera bastante proporcional en los seis primeros deciles, no sufriendo grandes diferencias en los cuatro deciles restantes. Razón por la que en los tres deciles inferiores siguen estando el 60 % de los niños y adolescentes argentinos, habiendo incluso aumentado levemente en la actualidad (59,6 % en 2003 y 60,5 en el 2014).
Mientras que en los cinco deciles mas bajos, se encuentran casi el 80 % de los niños y adolescentes argentinos (78,4 % en el 2003 y 77,7 % en el 2014). Cabiendo en consecuencia la pregunta de qué porvenir tiene un país, cuando cuatro quintos de su generación futura proviene de las franjas más carenciadas de ella.
En términos absolutos el grafico muestra que entre el 2003 y 2014, hubo una caída de integrantes menores de edad de 1,3 % en el decil mas bajo. Que fue compensada con un aumento de ellos en el segundo y tercer decil, arrojando como magro balance un 1,9 % menos de menores de edad en estos deciles. Pero que representan en términos absolutos 315 mil niños y adolescentes más hundidos en ellos.
Por su parte en los deciles intermedios del cuarto al séptimo, se registra una caída de 1,4 % de menores de edad, que representan en términos absolutos solo 7,6 miles de niños y adolescentes más. Mientras que en los tres deciles superiores, del octavo al décimo, la caída es de solo 0,4 %, lo que representa en términos absolutos solo 13,6 miles de niños y adolescentes mas. Totalizando así estos porcentajes la caída de 3,6 % de esa franja etaria sobre el total de la población.
Resultado que proviene de que simultáneamente la población argentina, aumento un 15,6 %, compensando así enteramente con creces la caída de incidencia de esa franja etaria, que entre el 2003 y el 2014 se redujo un 11,1 %. Lo cual refleja que prácticamente no hubo una movilidad social ascendente, que alcanzara sustancialmente a los niños y adolescentes argentinos que son el futuro del país.
Autocritica, y su justificación por la malversación de los microdatos del INDEC
Debe reconocerse que las cifras de ingresos de los hogares en juego, no han sido corregidas por los factores de “adulto equivalente” que se emplean en las estadísticas de la Unión Europea. Atribuyendo al jefe de hogar un factor de 1; a los restantes mayores de 14 años, un factor de 0,5; y a los menores de 14 años un factor de 0,3. Debido que para ello sería necesario contar con todos los microdatatos de la Encuesta Permanente de Hogares desde el 2003 hasta la fecha.
Corrección que atento a la mayor cantidad de niños que cuentan los deciles más bajos de la población, tentativamente harían que los porcentajes relativos de riesgo de pobreza expresados anteriormente, se redujeran en alrededor de tres puntos o cuatro puntos porcentuales. Oscilando en consecuencia el riesgo actual de pobreza en torno a un tercio de la población. Cifra que supera las publicadas por el Barómetro de la Deuda Social de la UCA, que tanto han molestado a las autoridades gubernamentales.
Pero no obstante, por un lado, la evolución del indicador de riesgo de pobreza conservaría un desenvolvimiento similar. Dado que la estructura de los hogares no ha cambiado sustancialmente en los distintos deciles entre los años 2003 y el 2014. Y por contrario tal como se consignó, en los deciles inferiores ha disminuido la incidencia de los menores de 18 años.
Pero por otro lado, esta ausencia de corrección estaría balanceada por dos factores subrepticios introducidos por el INDEC para elaborar sus informes. Consistentes en la “calibración de la muestra”, y la “imputación” de mayores ingresos a los declarados por los encuestados, concretadas por el INDEC en las Encuesta Permanente de Hogares.
Bajo los conceptos, enunciados en un documento del año 2008 (“Ponderación de la muestra y tratamiento de valores faltantes en las variables de ingreso en la Encuesta Permanente de Hogares”) de que la selección de las muestras para las encuestas trimestrales, contienen errores que es necesario homogeneizar. Y que los encuestados no declaran todos sus ingresos, o sea que según el INDEC sistemáticamente los subestiman.
Razón por la que desde el 2008 aplicó retroactivamente esa “calibración” e “imputaciones”, a los resultados de las Encuestas Permanente de Hogares efectuadas desde el 2003 en adelante, a la par de que impidió el acceso a ellas por parte del público durante tres largos años. Lo cual proviniendo de un organismo como el desprestigiado INDEC, que se ha dedicado a sesgar y adulterar las estadísticas oficiales, funcionando en realidad como una agencia de propaganda del actual gobierno, lo único que hace es levantar vehementes sospechas que se trata de otra de las cruda cosméticas estadísticas que se acostumbrado a implementar.
A los efectos de tratar de disimular la pésima distribución del ingreso existente, que se hace evidente con solo observar la “anormal” curva que la representa, y de mejorar de alguna manera el índice de desigualdad de Gini. Un crudo ejemplo de este maquillaje, que más bien parece una cirugía estética, son las “imputaciones” de precios que realizaba para obtener el costo de la canasta de bienes a los efectos de calcular la evolución del IPC (Indice de Precios al Consumidor). Que tuvo que cesar de hacerlas, a la par de tirar a la basura al IPC, por las advertencias del FMI de excluirlo como país miembro, por la falsificación de sus estadísticas.
Tal como se describe en detalle en la primera parte del Anexo Técnico adjunto, el efecto de estas manipulaciones efectuadas por el INDEC, compensarían largamente el mencionado desvío producto de no usar la conversión a “adulto equivalente”. Y además le habrían permitido al INDEC mejorar en cuatro puntos al coeficiente de desigualdad de Gini, de forma tal de primero hacerlo bajar del rango de 0,5 a los inicios del kirchnerismo, para bajarlo actualmente del rango de 0,40, ubicándolo en 0,38.
Un doble desafío para el INDEC, y en especial para los políticos
Ante lo expuesto debería desafiarse al INDEC, para que en reemplazo de las vergonzosas estadísticas de pobreza absoluta que dejó de publicar, informe respecto la pobreza relativa existente en el país y su evolución, conforme la metodología de la Unión Europea. En base a los datos de las sucesivas Encuestas Permanentes de Hogares, desagregando su resultado entre antes y después de las transferencias sociales, como hace la Unión Europea. Y también entre antes y después de las calibraciones e imputaciones que puso en práctica retroactivamente en el 2008, para poder apreciar la verdadera incidencia de estas, y la distorsión de introdujo en el cálculo de la distribución del ingreso y el coeficiente Gini.
Ello reportaría información de suma importancia para valorar la cuestión de la pobreza, marginalidad, y exclusión, en su justa dimensión. Que está íntimamente relacionada con la violencia social y la inseguridad ciudadana que cada vez desvela más a la sociedad. Ante la cual los argentinos lo único que se le ocurre es clamar por más mano dura, cárceles, policías, patrulleros, y cámaras de seguridad.
Igual que la zorra, que estólidamente solo acusa al cepo que la atrapa, sin ver quien armó la trampa. Consistente en que resulta inadmisible que un tercio de la sociedad argentina, y un 60 % de los menores de edad argentinos, están hundidos en la desigualdad, la marginalidad, la exclusión, y la pobreza. Siendo este el semillero donde se engendra la violencia social. Y ante ello lo único que se le ocurre a nuestros imaginativos políticos, es bajar la edad de imputabilidad de los 16 a los 14 años. Y luego seguramente insistirán con esa misma receta, bajando cada tanto otro par de años, hasta llegar a la primera infancia.
David Ruda, el próspero empresario de Tarjeta Naranja que comenzó vendiendo zapatillas, y gracias a su asociación con el Banco Galicia y la explotación de la usura VIP legalizada por el menemismo y el kirchnerismo, con la que expolia rudamente a la clase media baja, recientemente dijo (CLARIN, 7/8/14):
“Mis amigos me dicen “a vos te va muy bien”. Pero ¿Qué tiene que ver que a mí me vaya muy bien? Toda la vida me fue muy bien. Pero lo que no me va muy bien es que, cuando subo al auto, además del cinturón, me tengo que asegurar de que no me asalten, que no me rompan el vidrio, que no encuentre gente en la calle tirada, borracha o pidiendo, ahí no me va muy bien, no puedo salir a la calle con un reloj valioso. Eso no es ir bien”.
En consecuencia el otro gran desafío es para la dirigencia argentina. Y especialmente para los políticos argentinos, cuyo desprestigio es proporcional a los problemas que no han sabido resolver. Quienes, convertidos en hombres y mujeres de fortuna tras hacerse cargo del estado, o como contratistas de ese mismo estado, en lugar de idear e implementar creativamente un shock de empleo de baja calificación, para disolver de una vez y para siempre el problema de la pobreza, inusitado para un país pletórico de recursos como el nuestro, la torpe salida que prometen actual, es mas y mas fuerzas y artilugios destinados a la seguridad.
Y para el futuro, la educación. Prometiendo como vendedores de ilusiones, una utópica y lejana salida en un tiempo remoto por venir, que no llega nunca. Mientras que en los hogares argentinos se esparce cada vez más la miseria y la exclusión, bajo el reinado del narcotráfico y las drogas. Que es al mismo tiempo fuente de empleo marginal, moneda de cambio, y medio de evasión de la lóbrega realidad en que se vive.
Negocio delictual que en un encuentro al borde del abismo, también tiene como clientes a los consumidores de las clases pudientes. Así en las calles y en las casas argentinas acecha cada vez más la inseguridad y la violencia. Lo cual lleva al extremo de aumentar mucho más las partidas para seguridad, que para educación. Sacrificándose así un futuro hipotético improbable, por una solución actual inviable.
Cuya demostración más palpable es el rotundo fracaso de las exacerbadas políticas de seguridad que llevó adelante el delasotismo en Córdoba. A la par que acometió una criminal política de exclusión social, consistente en erradicar villas de emergencia, trasladándolas a barrios satélites, o mejor dicho ghetos alejados de la ciudad. Los expertos Sergio Job (abogado y Dr. En Ciencias Políticas) y Estefanía Naha (Licenciada en Economía) en su nota «El estrepitoso fracaso del estado policial cordobés» ponen de manifiesto esta demencial política llevada adelante por el delasotismo en Córdoba.
Esta situación explosiva, es el castigo para una sociedad que cometió el crimen de haber perdido los lazos de solidaridad, equidad, y justicia social a los que un día aspiraba. Que no solo vio impasible que las calles se poblaran de niños y ancianos mendigos o a la intemperie, de jóvenes limpiavidrios, trapitos, buhoneros, buscavidas, y cirujas de todas las edades, sino que se molesta ante la patética existencia ellos.
Sin querer ver que eso es un bumerang, que se volvió en forma de inseguridad y violencia social. Y ante la pérdida de la posibilidad que un enorme sector de la población condenado a la exclusión arribara a la justicia social, aceptó que sus políticos lo disimularan con las declamaciones de los derechos humanos de tercera generación. A favor de ínfimas minorías, como gays, lesbianas, travestis, matrimonio igualitario, aborto legal, etc. Tomando incluso en este último caso al “pobrismo”, como el principal argumento para su justificación.
Así pasó a creer que en una comunidad puede existir una salida individual, a la par que se ayuda a serruchar la rama donde todos estamos parados, o afilando el cuchillo que a uno lo va a herir. O que se puede llegar a buen puerto, haciendo cotidianamente agujeros en el bote en el que vamos todos, con un rumbo cada vez más inseguro e incierto. Sin atinar a ver que si la bodega va llena de pasajeros de tercera clase, viajando en pésimas condiciones de vida y hacinamiento, mal podrán disfrutar del viaje los que viajan en segunda y primera.-
Javier Llorens
Agosto del 2015
La manipulación de las EPH mediante la calibración de la muestra
Respecto la “calibración de la muestra” introducida por el INDEC en el año 2008, en el gráfico adjunto elaborado en base a los microdatos de la Encuesta Permanente de Hogares (EPH) correspondiente al 2do Trimestre del 2013 (“Encuesta Población” en el gráfico) y su comparación con los “Hogares según escala de ingreso per cápita familiar” que publica el INDEC (“Publicado INDEC” en el gráfico) se ve como ella ha servido para reducir el porcentaje de la población hundida en los tres primeros deciles, correspondientes al sector más carenciado de la población.
Y aumentar el número de integrantes del cuarto decil en adelante. De esa manera fueron escamoteados un 3,1 % de población que correspondería a los tres deciles inferiores. Aumentado en 1,9 % de la población los cuatro deciles centrales pertenecientes a la clase media. Y aumentado en 1,6 % de la población a los tres últimos deciles pertenecientes a la clase alta.
Además la calibración respecto el número de hogares, hizo que desaparecieran el número de hogares de los cuatro primero deciles, que están por encima del 10 %, mermándolos en un 2,7 % del total de hogares. Y que crecieran el número de hogares del cinco en adelante, que estaban por debajo del 10 %, incrementándolos en un 3,3 % del total de hogares. Siendo esta una clara muestra de cómo el colorete, el rímel, y el rouge pueden disimular una cara mal entrazada.
El efecto concreto de esto, es que el coeficiente de Gini que mide la desigualdad (0 igualdad absoluta, y 1 desigualdad absoluta) mejoró cuatro puntos, al pasar en el 4to Trimestre del 2014 de 0,419, calculado conforme los datos duros de las encuestas de hogares, a 0,380 conforme lo publicado por el INDEC.
Pero además esta cosmética fue aplicada en forma retroactiva, ya que en el 4to Trimestre del 2003 los microdatos duros de la encuesta dan un coeficiente de Gini de 0,502, mientras que el INDEC sostiene que fue de 0,471. Mostrando así una fuerte mejora apenas el kirchnerismo accedió al gobierno. Pero además de estas seudo mejoras del coeficiente de desigualdad de Gini, obtenidas gracias a la “calibración de la muestra”, también hay otras obtenidas mediante las “imputaciones de ingresos”, dirigidas especialmente hacia los sectores más rezagados de la población.
La manipulación de las EPH mediante las imputaciones de ingreso
Al respecto, el INDEC en sus microdatos de la Encuesta Permanente de Hogares no brinda dato alguno de la incidencia o cuantía de esas imputaciones, y solo informa de los casos en que ellas se practican. En base a ello se ha elaborado el gráfico adjunto, que trasunta el sesgamiento con que se han concretado ellas.
Las columnas reflejan en el lado izquierdo del gráfico, el aumento de los montos en juego entre el 2003 y el 2013, de los ingresos sobre los cuales se efectuaron imputaciones. Claramente se observa que los mayores aumentos, entre 1.330 % y 1.725 % más, se concretaron en los tres deciles más bajos de la población. Muy por encima de la media de aumento de 1.000 %.
Mientras que los deciles más empinados, del séptimo al décimo, solo sufrieron incrementos de cómo máximo ese promedio. Lo que a su vez se ve confirmado en la línea reflejada en el lado derecho del gráfico, que muestra que el aumento en el número de las imputaciones concretadas, alcanza un pico de un 109 % en el tercer decil, para caer a un pico del 89 % en el sexto decil, y del 75 % en el décimo decil. Demostrando todo esto lo tendencioso de estas novedosas imputaciones de ingresos inauguradas a partir del 2008.
Evolución del Total País
El área de color del gráfico adjunto, muestra la evolución de la cantidad de personas en riesgo de pobreza del Total País. Las mismas han sido proyectadas a partir del Total de Aglomerados Urbanos reportados por el INDEC en sus informes trimestrales referido a la distribución del ingreso en los “Hogares según escala de ingreso per cápita familiar”
El área muestra pronunciadas fluctuaciones, que no solo provendrían de la determinación de las muestras para la encuesta, y de las situaciones estacionales, sino también de la manipulación que hace de ellas el INDEC, mediante la “calibración” de la muestra y las “imputaciones” de ingresos. Las que además de por sí señalan la precariedad en la que se está sumida un amplio sector de la población, por la irregularidad de sus ingresos.
Por su parte la línea de color revela la tendencia en la evolución de las personas en riesgo de pobreza (calculada con una polínómica de tres términos) que se acomoda a una tendencia decreciente de esas personas entre 2006 y 2011, llegando a un mínimo de 13,5 millones de personas en el 2do Trimestre del 2010. Pero sin llegar nunca a los niveles más bajos existentes en 1996 – 1997 durante la convertibilidad, representada por la línea de rayas de color ubicada en el nivel de 13,3 millones de personas. Apareciendo a partir del 2010 una tendencia francamente creciente, que llega a un pico de 15,8 millones de personas en el 3er Trimestre del 2014. Lo cual significa un aumento de 2,5 millones de personas en riesgo de exclusión, respecto las existentes en la convertibilidad.
Por su parte las líneas de color negro reflejadas en el eje derecho del gráfico como porciento de la población, representan la evolución relativa de la población en riesgo de pobreza. Que tiene una caída de más de 6 puntos, desde 39,6 % en el 4to Trimestre de 2003, hasta un mínimo de 33,5 % en el 2do Trimestre del 2010, para volver a un pico del 37 % en el 3er Trimestre del 2014. O sea solo un punto y medio por debajo del 38,2 % registrado en los años 1996 – 97 durante la convertibilidad. Reflejándose en la línea de tendencia polinómica que acompaña ese curso, dicha caída porcentual inicial, y su posterior subida a partir del año 2012, hasta un casi un 36 % en el 2015.
Evolución Total Aglomerados Urbanos
En el Total de los Aglomerados Urbanos se da una evolución similar a la anterior en términos relativos porcentuales. Que en términos absolutos arroja una disminución de la población en riesgo de exclusión desde un pico 9,42 millones de personas en el 3er Trimestre del 2006, a un mínimo de 8,32 millones en el 2do Trimestre del 2010. Para volver a crecer desde allí a un pico de 9,86 millones en el 3er Trimestre del 2014.
Mostrando de esa manera la línea de tendencia de personas en riesgo de pobreza, un valle entre el 2006 y el 2012, con una abrupta subida posterior sensiblemente por arriba de los niveles del 2003, que reportan medio millón de personas más hundidas en esa condición. Lo cual refleja seriamente la impotencia por parte del gobierno nacional mas allá de lo que declama en sus discursos, no solo de lograr una mejora sensible en términos socioeconómicos, sin incluso de contener la situación para impedir que más personas sigan cayendo en riesgo de pobreza o exclusión.
Evolución Ciudad Autónoma de Buenos Aires
Como se visualiza en el gráfico adjunto, en el caso de la CABA se observa claramente que la caída o valle y posterior suba, se da tanto en términos relativos porcentuales, como absolutos en millones de personas hundidas en riesgo de pobreza. Resultando notable el paralelismo que se establece entre ambos, por la estable situación demográfica que ostenta ese distrito. Que casi no registró crecimiento de su población entre 2003 y 2015, estabilizada en torno de los tres millones de habitantes.
Ambos indicadores llegaron a un pico aislado en el 1er Trimestre del 2009, con un 37,3 % de la población, o sea 1,1 millón de personas en riesgo de pobreza, que caen a un mínimo de 28,6 % en el 2do Trimestre del 2013, con 0,86 millones de personas en esa condición. Para trepar luego nuevamente a un pico de 36 % en el 4t0 Trimestre del 2014, lo que representa a 1,07 millones de personas hundidas en riesgo de pobreza.
Esto pone en evidencia la total incompetencia del gobierno de Mauricio Macri para enfrentar la situación de pobreza y exclusión que afecta al distrito más rico y con mayor capacidad contributiva del país. Al no haber podido contener el riesgo de pobreza en ninguna de sus dos variables, ni relativa porcentual, ni absoluta en cuantía de personas.
Y por contrario parece haber aprendido las mañas del clientelismo de los grandes partidos tradicionales, al haber logrado imponerse en las últimas elecciones en todas las villas de emergencia de la ciudad, pese las condiciones de pauperización en que se encuentran ellas. No obstante hoy promete hacer extensivo a todo el país lo que hizo en la CABA, lo cual sería un desastre mucho mayor.
Evolución Partidos del Gran Buenos Aires
En este caso se da la misma evolución que en el caso de la CABA, con los indicadores relativos y absolutos que decrecen y luego crecen de forma parecida, conforme se puede observar según sus líneas de tendencia. Con un valle que llegan a un mínimo en el 2010 y 2011, seguido de un raudo incremento de ambos indicadores.
Al pasar el riesgo de pobreza de un pico de 38 % en el 3do Trimestre del 2004, con 3,61 millones de personas hundidas en ella, a un piso en el 2do Trimestre de 2009 del 29,3 %, con 2,91 millones de personas en esas condiciones. O sea una disminución de 0,7 millones. Que luego se ve neutralizada con creces, al trepar el riesgo de pobreza a un 35,3 % o 3,8 millones de personas hundidas en ella, con un incremento de 0,3 millones respecto el máximo registrado en el 2004.
Este dantesco aglomerado urbano registró un incremento poblacional del 14,8 % entre el 2003 y el 2015, con la incorporación de 1,4 millones de personas más, y sigue en crecimiento. Lo cual evidencia la ausencia de creatividad e impotencia por parte del gobernador Daniel Scioli, para paliar la situación de pobreza estructural en que se ha hundido ese conglomerado urbano, y hacer cesar su deforme crecimiento demográfico. El que de lejos es el más importante del país y decisivo en términos electorales, y pertenece a la provincia agropecuaria más rica de Argentina.
Evolución del Gran Córdoba
El Gran Córdoba presenta una evolución similar a la de los Partidos del Gran Buenos Aires, pero agravada, al registrar cuantías relativas de riesgo de pobreza aun más acentuadas. Que pasó de un pico de un 43,9 % de la población en riesgo de pobreza en el 3er trimestre del 2005, 0,59 millones de personas, a un mínimo de un 30,4 % en el 2do Trimestre del 2013, 0,44 millones de personas.
Para trepar luego a un 37,1 % en el 1er Trimestre del 2015, el más alto registro actual en relación con los restantes aglomerados mencionados, con 0,56 millones de personas. No obstante ese penoso desempeño, su gobernador De la Sota, que detenta el gobierno desde el año 1999, ahora se propuso para solucionar en macro, lo que evidentemente no supo hacer en micro en el principal aglomerado urbano de su provincia. Más allá de todo el despliegue propagandístico que hace con sus planes sociales del primer paso laboral, y el boleto estudiantil y obrero gratuito, que resulta lo mismo que recetar una aspirina a un canceroso terminal.-
"Como lo pudiste constatar, nuestras investigaciones, son fundadas, independientes, con datos públicos y verificables y siempre sobre el poder real. Su producción lleva días, semanas, hasta meses de trabajo. Y son abordadas con la mayor honestidad, profesionalidad y rigurosidad periodística. Si está a tu alcance, podes colaborar con este periodismo libre, de calidad, sin injerencia de empresas o gobiernos"


















Un comentario
hermano, ese trabajo o es un desastre o tiene muy mala leche: selecciona datos y años que le conviene